mp-643385/SrHIO/anharm

Harmonic properties

../../_images/fig_bandos_pr5501.png

(a) Phonon dispersion with participation ratio and DOS

../../_images/fig_thermo5501.png

(b) Thermodynamic properties

Grüneisen parameters

../../_images/fig_gru_all2293.png

(a) Grüneisen parameters

../../_images/fig_gruneisen2293.png

(b) Phonon dispersion with Grüneisen parameters

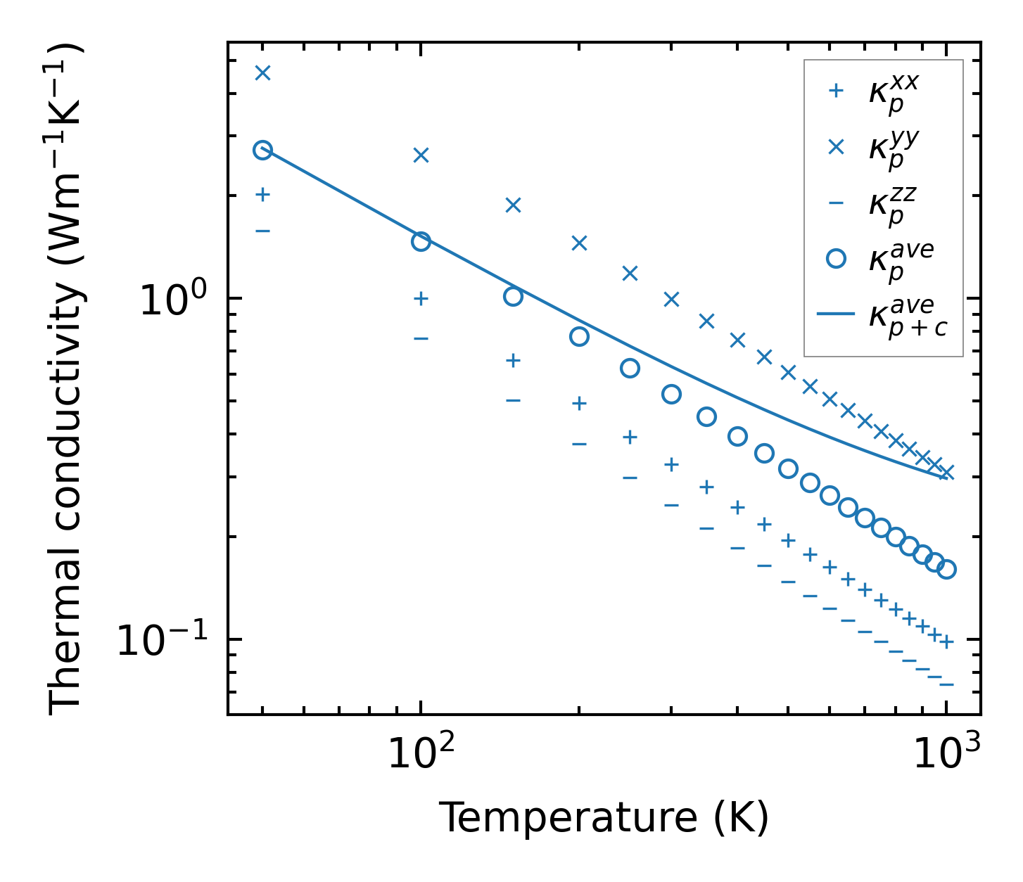
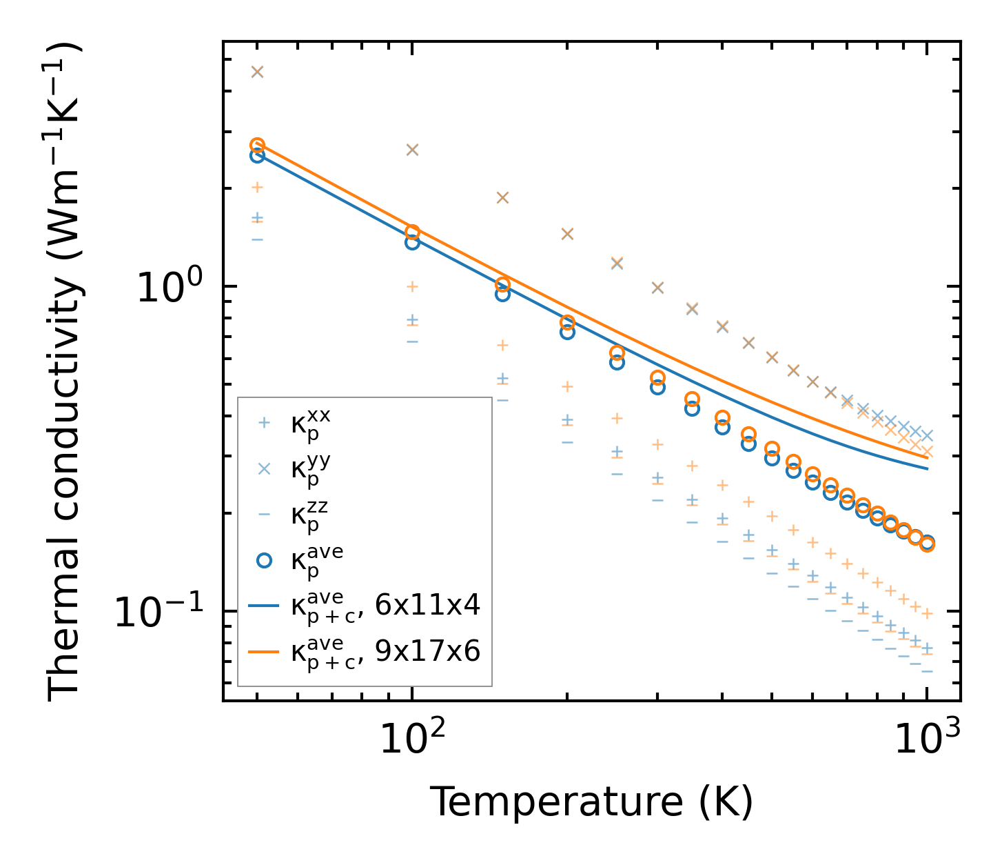
Thermal conductivity

3-phonon (LASSO) — q-mesh: 9x17x6, supercell: 2x3x1

../../_images/fig_kappa4384.png

(a) Temperature-dependent lattice thermal conductivity

../../_images/fig_kappa_vs_grain_size2323.png

(b) Peierls lattice thermal conductivity w.r.t grain size

Phonon lifetime and scattering rates

../../_images/fig_lifetime2278.png

(a) Phonon lifetime due to phonon-phonon scattering

../../_images/fig_scat_rates2277.png

(b) Phonon scattering rates

Cumulative and spectral thermal conductivity

../../_images/fig_cumu_frequency2278.png

(a) Spectral and cumulative thermal conductivity w.r.t frequency

../../_images/fig_cumu_mfp2278.png

(b) Spectral and cumulative thermal conductivity w.r.t MFP

Force constants

../../_images/fig_fc25303.png

(a) Force constants w.r.t atomic distance

Summary

../../_images/fig_kappa4385.png

(a) Temperature-dependent lattice thermal conductivity

../../_images/fig_times9939.png

(b) Computation time