mp-643246-2/YbMgNiH4/anharm

Equation of state

../../_images/fig_bm2671.png

(a) Equation of state

Harmonic properties

../../_images/fig_bandos_pr5482.png

(a) Phonon dispersion with participation ratio and DOS

../../_images/fig_bandos7884.png

(b) Phonon dispersion and DOS

../../_images/fig_thermo5482.png

(c) Thermodynamic properties

Grüneisen parameters

../../_images/fig_gru_all2280.png

(a) Grüneisen parameters

../../_images/fig_gruneisen2280.png

(b) Phonon dispersion with Grüneisen parameters

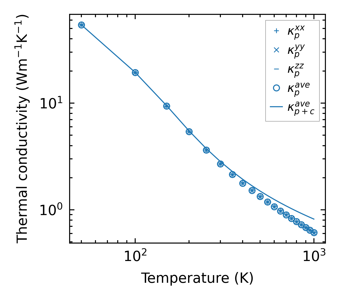
Thermal conductivity

3-phonon (LASSO), supercell 2x2x2 — q-mesh: 10x10x10, supercell: 2x2x2

../../_images/fig_kappa4360.png

(a) Temperature-dependent lattice thermal conductivity

../../_images/fig_kappa_vs_grain_size2310.png

(b) Peierls lattice thermal conductivity w.r.t grain size

Phonon lifetime and scattering rates

../../_images/fig_lifetime2265.png

(a) Phonon lifetime due to phonon-phonon scattering

../../_images/fig_scat_rates2264.png

(b) Phonon scattering rates

Cumulative and spectral thermal conductivity

../../_images/fig_cumu_frequency2265.png

(a) Spectral and cumulative thermal conductivity w.r.t frequency

../../_images/fig_cumu_mfp2265.png

(b) Spectral and cumulative thermal conductivity w.r.t MFP

Force constants

../../_images/fig_fc25285.png

(a) Force constants w.r.t atomic distance

Summary

../../_images/fig_times9912.png

(a) Computation time