mp-643010/Cs2H4Pt/anharm

Harmonic properties

../../_images/fig_bandos_pr5461.png

(a) Phonon dispersion with participation ratio and DOS

../../_images/fig_thermo5461.png

(b) Thermodynamic properties

Grüneisen parameters

../../_images/fig_gru_all2271.png

(a) Grüneisen parameters

../../_images/fig_gruneisen2271.png

(b) Phonon dispersion with Grüneisen parameters

Thermal conductivity

3-phonon (LASSO) — q-mesh: 11x11x8, supercell: 2x2x2

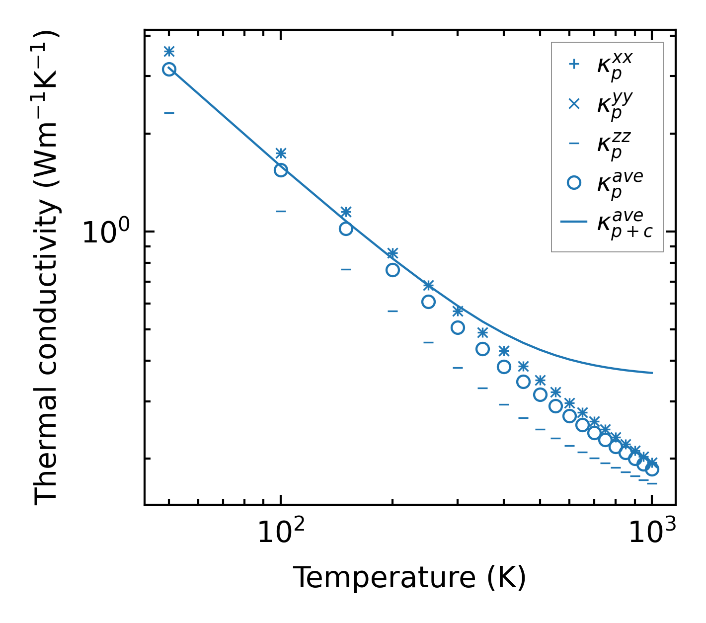
../../_images/fig_kappa4343.png

(a) Temperature-dependent lattice thermal conductivity

../../_images/fig_kappa_vs_grain_size2301.png

(b) Peierls lattice thermal conductivity w.r.t grain size

Phonon lifetime and scattering rates

../../_images/fig_lifetime2256.png

(a) Phonon lifetime due to phonon-phonon scattering

../../_images/fig_scat_rates2255.png

(b) Phonon scattering rates

Cumulative and spectral thermal conductivity

../../_images/fig_cumu_frequency2256.png

(a) Spectral and cumulative thermal conductivity w.r.t frequency

../../_images/fig_cumu_mfp2256.png

(b) Spectral and cumulative thermal conductivity w.r.t MFP

Force constants

../../_images/fig_fc25266.png

(a) Force constants w.r.t atomic distance

Summary

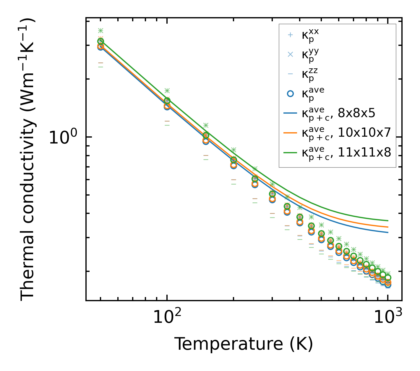
../../_images/fig_kappa4344.png

(a) Temperature-dependent lattice thermal conductivity

../../_images/fig_times9883.png

(b) Computation time