mp-643710/Cs3B12H12I/anharm

Harmonic properties

../../_images/fig_bandos_pr5520.png

(a) Phonon dispersion with participation ratio and DOS

../../_images/fig_thermo5520.png

(b) Thermodynamic properties

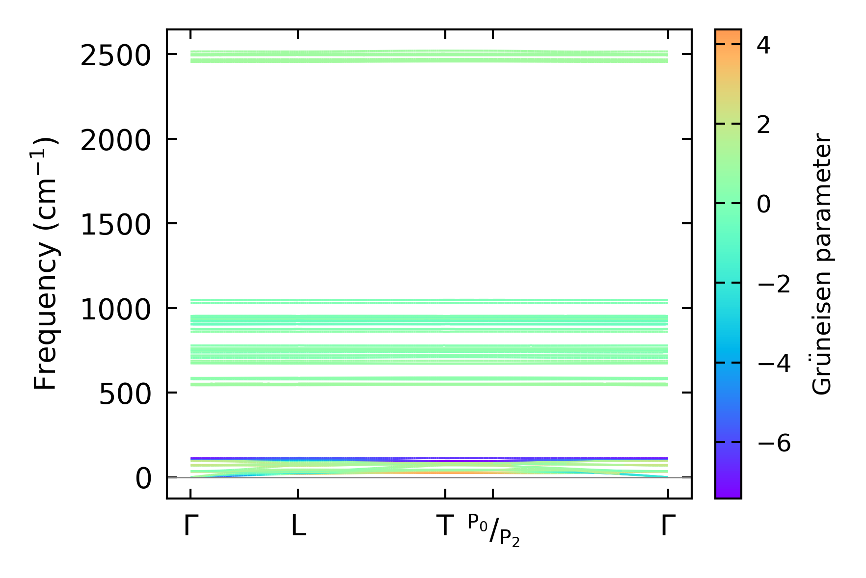
Grüneisen parameters

../../_images/fig_gru_all2301.png

(a) Grüneisen parameters

../../_images/fig_gruneisen2301.png

(b) Phonon dispersion with Grüneisen parameters

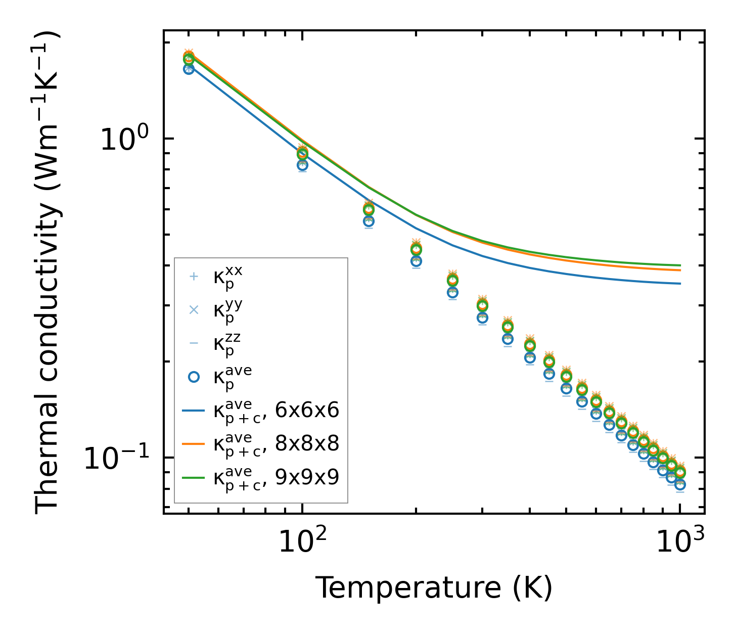
Thermal conductivity

3-phonon (LASSO) — q-mesh: 9x9x9, supercell: 1x1x1

../../_images/fig_kappa4399.png

(a) Temperature-dependent lattice thermal conductivity

../../_images/fig_kappa_vs_grain_size2331.png

(b) Peierls lattice thermal conductivity w.r.t grain size

Phonon lifetime and scattering rates

../../_images/fig_lifetime2286.png

(a) Phonon lifetime due to phonon-phonon scattering

../../_images/fig_scat_rates2285.png

(b) Phonon scattering rates

Cumulative and spectral thermal conductivity

../../_images/fig_cumu_frequency2286.png

(a) Spectral and cumulative thermal conductivity w.r.t frequency

../../_images/fig_cumu_mfp2286.png

(b) Spectral and cumulative thermal conductivity w.r.t MFP

Force constants

../../_images/fig_fc25322.png

(a) Force constants w.r.t atomic distance

Summary

../../_images/fig_kappa4400.png

(a) Temperature-dependent lattice thermal conductivity

../../_images/fig_times9970.png

(b) Computation time