mp-643643/BaH2CSNClO/anharm

Harmonic properties

../../_images/fig_bandos_pr5514.png

(a) Phonon dispersion with participation ratio and DOS

../../_images/fig_thermo5514.png

(b) Thermodynamic properties

Grüneisen parameters

../../_images/fig_gru_all2295.png

(a) Grüneisen parameters

../../_images/fig_gruneisen2295.png

(b) Phonon dispersion with Grüneisen parameters

Thermal conductivity

3-phonon (LASSO) — q-mesh: 12x15x3, supercell: 2x2x1

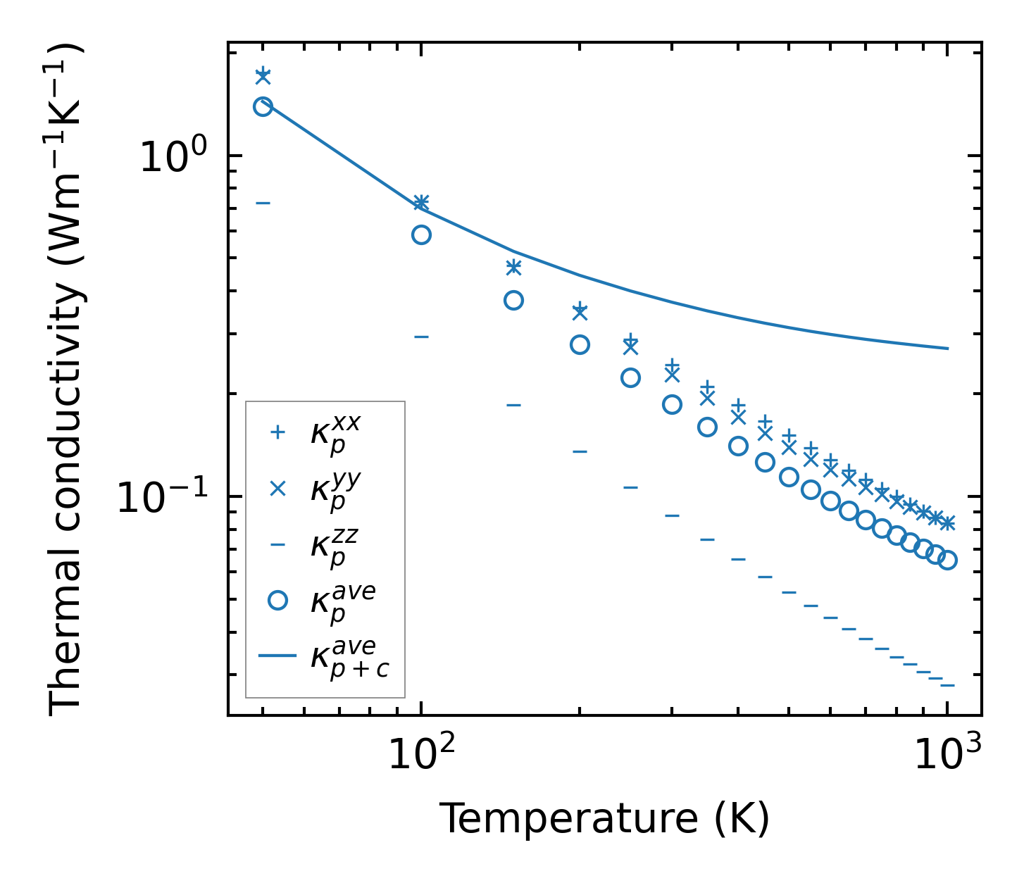
../../_images/fig_kappa4387.png

(a) Temperature-dependent lattice thermal conductivity

../../_images/fig_kappa_vs_grain_size2325.png

(b) Peierls lattice thermal conductivity w.r.t grain size

Phonon lifetime and scattering rates

../../_images/fig_lifetime2280.png

(a) Phonon lifetime due to phonon-phonon scattering

../../_images/fig_scat_rates2279.png

(b) Phonon scattering rates

Cumulative and spectral thermal conductivity

../../_images/fig_cumu_frequency2280.png

(a) Spectral and cumulative thermal conductivity w.r.t frequency

../../_images/fig_cumu_mfp2280.png

(b) Spectral and cumulative thermal conductivity w.r.t MFP

Force constants

../../_images/fig_fc25316.png

(a) Force constants w.r.t atomic distance

Summary

../../_images/fig_kappa4388.png

(a) Temperature-dependent lattice thermal conductivity

../../_images/fig_times9962.png

(b) Computation time