mp-569978/Na2Ti3Cl8/harm

Equation of state

../../_images/fig_bm3761.png

(a) Equation of state

Harmonic properties

../../_images/fig_bandos_pr7079.png

(a) Phonon dispersion with participation ratio and DOS

../../_images/fig_bandos10055.png

(b) Phonon dispersion and DOS

../../_images/fig_thermo7079.png

(c) Thermodynamic properties

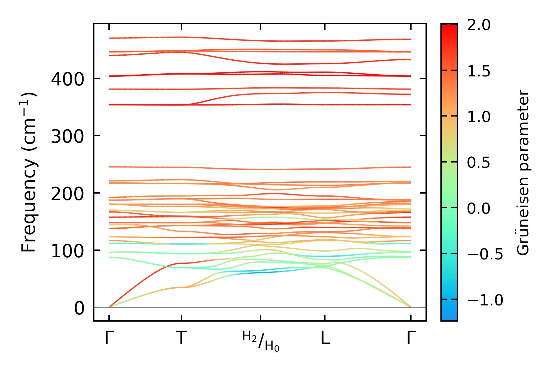
Grüneisen parameters

../../_images/fig_gru_all2953.png

(a) Grüneisen parameters

../../_images/fig_gruneisen2953.png

(b) Phonon dispersion with Grüneisen parameters

Force constants

../../_images/fig_fc26855.png

(a) Force constants w.r.t atomic distance

Summary

../../_images/fig_times12631.png

(a) Computation time