mp-569132/K3InCl6/anharm

Equation of state

../../_images/fig_bm3735.png

(a) Equation of state

Harmonic properties

../../_images/fig_bandos_pr6994.png

(a) Phonon dispersion with participation ratio and DOS

../../_images/fig_thermo6994.png

(b) Thermodynamic properties

Grüneisen parameters

../../_images/fig_gru_all2906.png

(a) Grüneisen parameters

../../_images/fig_gruneisen2906.png

(b) Phonon dispersion with Grüneisen parameters

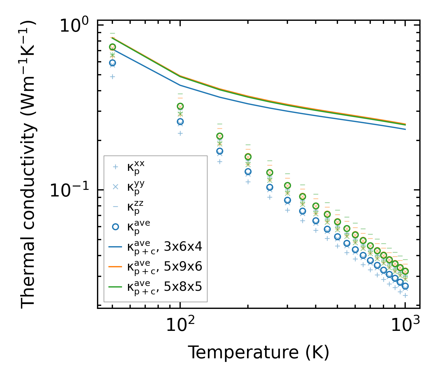
Thermal conductivity

3-phonon (LASSO) — q-mesh: 5x9x6, supercell: 1x2x1

../../_images/fig_kappa5512.png

(a) Temperature-dependent lattice thermal conductivity

../../_images/fig_kappa_vs_grain_size2948.png

(b) Peierls lattice thermal conductivity w.r.t grain size

Phonon lifetime and scattering rates

../../_images/fig_lifetime2882.png

(a) Phonon lifetime due to phonon-phonon scattering

../../_images/fig_scat_rates2881.png

(b) Phonon scattering rates

Cumulative and spectral thermal conductivity

../../_images/fig_cumu_frequency2882.png

(a) Spectral and cumulative thermal conductivity w.r.t frequency

../../_images/fig_cumu_mfp2881.png

(b) Spectral and cumulative thermal conductivity w.r.t MFP

Force constants

../../_images/fig_fc26771.png

(a) Force constants w.r.t atomic distance

Summary

../../_images/fig_kappa5513.png

(a) Temperature-dependent lattice thermal conductivity

../../_images/fig_times12513.png

(b) Computation time