mp-569237/GaBi4Cl4/harm

Harmonic properties

../../_images/fig_bandos_pr7006.png

(a) Phonon dispersion with participation ratio and DOS

../../_images/fig_bandos9990.png

(b) Phonon dispersion and DOS

../../_images/fig_thermo7006.png

(c) Thermodynamic properties

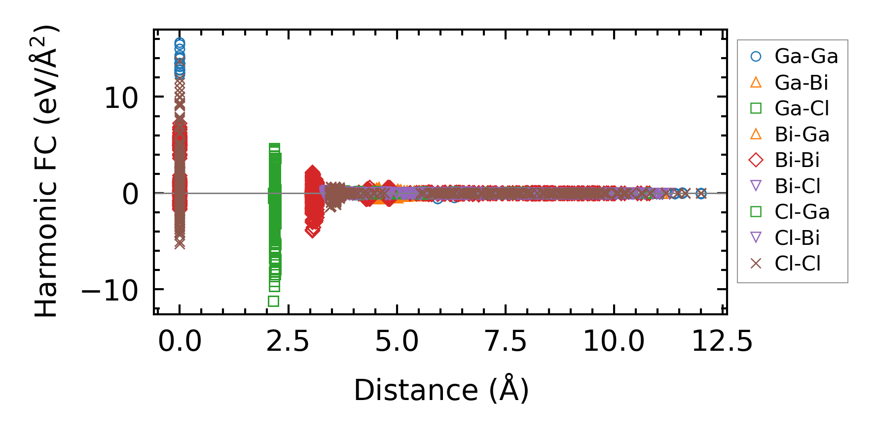
Force constants

../../_images/fig_fc26783.png

(a) Force constants w.r.t atomic distance

Summary

../../_images/fig_times12529.png

(a) Computation time