mp-569442/RbAuCl4/anharm

Harmonic properties

../../_images/fig_bandos_pr7022.png

(a) Phonon dispersion with participation ratio and DOS

../../_images/fig_thermo7022.png

(b) Thermodynamic properties

Grüneisen parameters

../../_images/fig_gru_all2923.png

(a) Grüneisen parameters

../../_images/fig_gruneisen2923.png

(b) Phonon dispersion with Grüneisen parameters

Thermal conductivity

3-phonon (LASSO) — q-mesh: 11x11x7, supercell: 1x3x2

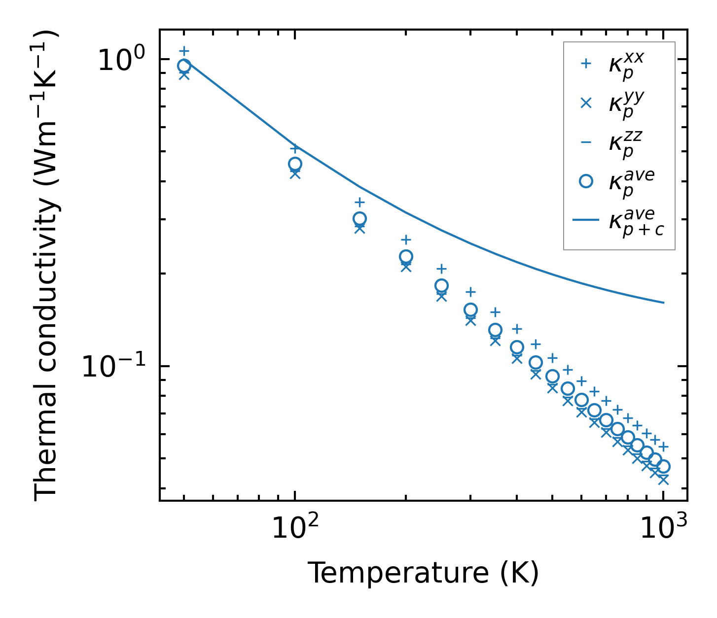
../../_images/fig_kappa5544.png

(a) Temperature-dependent lattice thermal conductivity

../../_images/fig_kappa_vs_grain_size2965.png

(b) Peierls lattice thermal conductivity w.r.t grain size

Phonon lifetime and scattering rates

../../_images/fig_lifetime2899.png

(a) Phonon lifetime due to phonon-phonon scattering

../../_images/fig_scat_rates2898.png

(b) Phonon scattering rates

Cumulative and spectral thermal conductivity

../../_images/fig_cumu_frequency2899.png

(a) Spectral and cumulative thermal conductivity w.r.t frequency

../../_images/fig_cumu_mfp2898.png

(b) Spectral and cumulative thermal conductivity w.r.t MFP

Force constants

../../_images/fig_fc26799.png

(a) Force constants w.r.t atomic distance

Summary

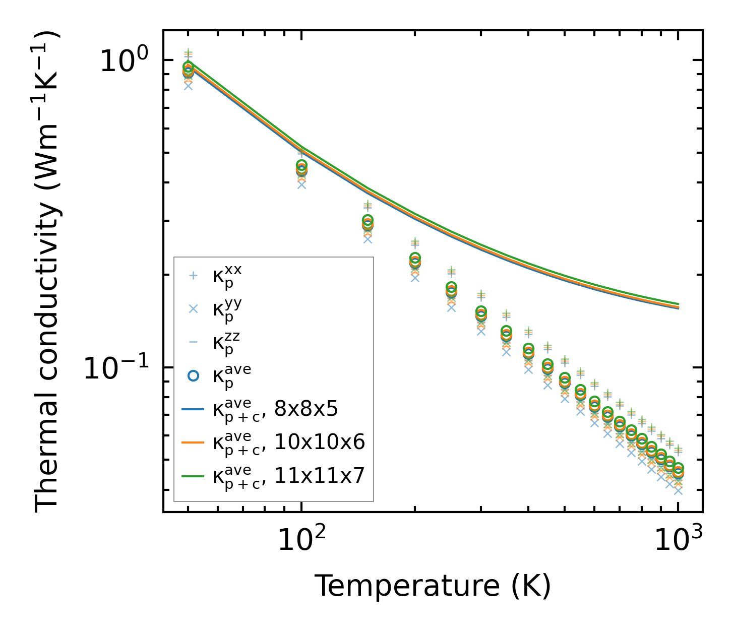
../../_images/fig_kappa5545.png

(a) Temperature-dependent lattice thermal conductivity

../../_images/fig_times12550.png

(b) Computation time