mp-569611/CdI2/anharm

Harmonic properties

../../_images/fig_bandos_pr7041.png

(a) Phonon dispersion with participation ratio and DOS

../../_images/fig_thermo7041.png

(b) Thermodynamic properties

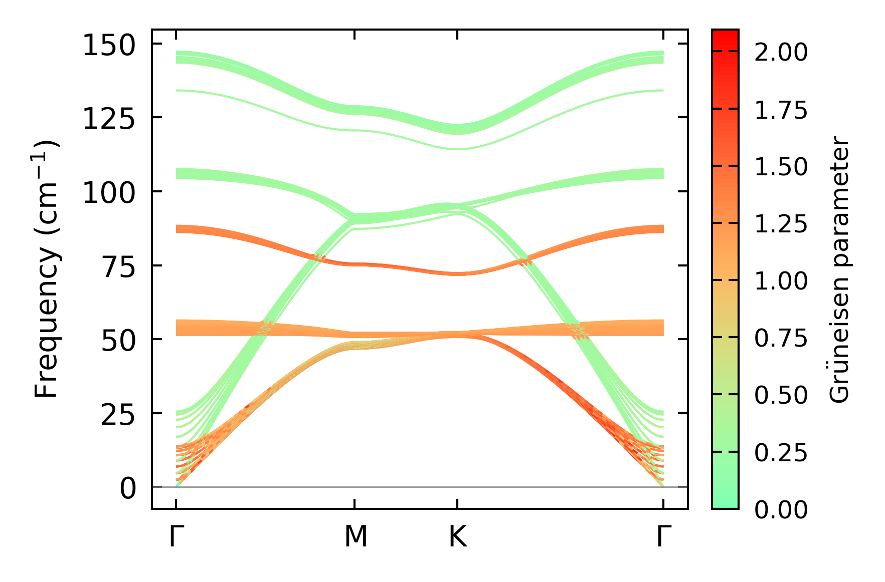
Grüneisen parameters

../../_images/fig_gru_all2933.png

(a) Grüneisen parameters

../../_images/fig_gruneisen2933.png

(b) Phonon dispersion with Grüneisen parameters

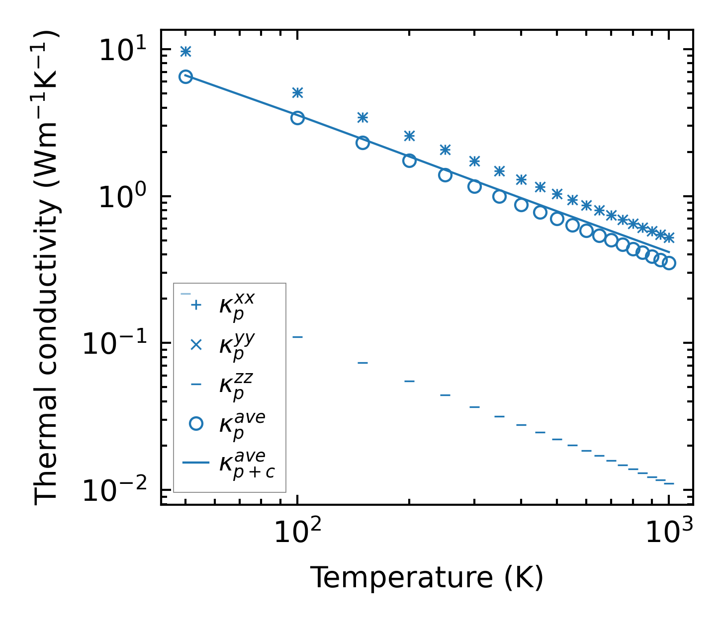
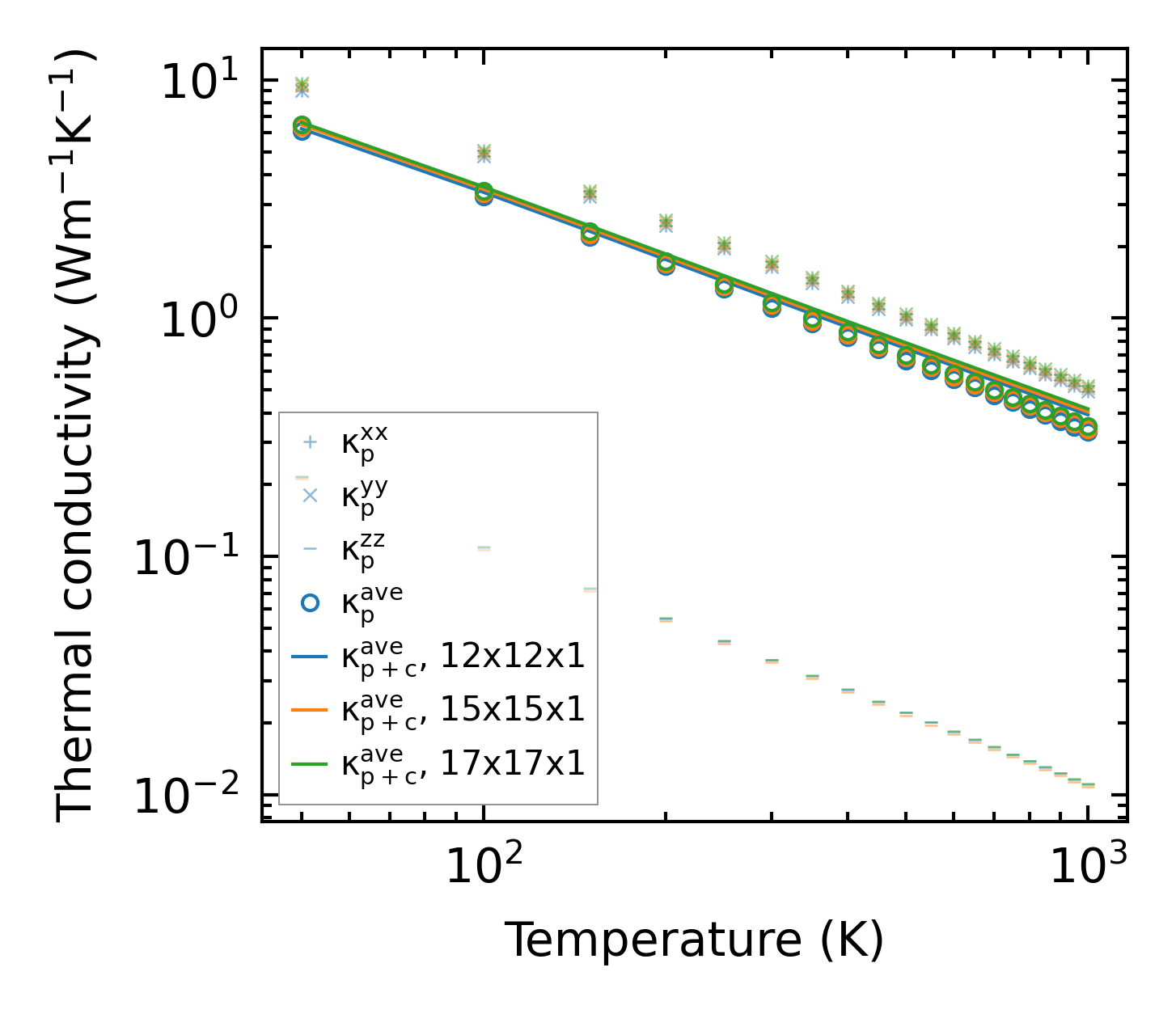
Thermal conductivity

3-phonon (LASSO) — q-mesh: 17x17x1, supercell: 1x1x1

../../_images/fig_kappa5564.png

(a) Temperature-dependent lattice thermal conductivity

../../_images/fig_kappa_vs_grain_size2975.png

(b) Peierls lattice thermal conductivity w.r.t grain size

Phonon lifetime and scattering rates

../../_images/fig_lifetime2909.png

(a) Phonon lifetime due to phonon-phonon scattering

../../_images/fig_scat_rates2908.png

(b) Phonon scattering rates

Cumulative and spectral thermal conductivity

../../_images/fig_cumu_frequency2909.png

(a) Spectral and cumulative thermal conductivity w.r.t frequency

../../_images/fig_cumu_mfp2908.png

(b) Spectral and cumulative thermal conductivity w.r.t MFP

Force constants

../../_images/fig_fc26818.png

(a) Force constants w.r.t atomic distance

Summary

../../_images/fig_kappa5565.png

(a) Temperature-dependent lattice thermal conductivity

../../_images/fig_times12577.png

(b) Computation time