mp-569639/TlCl/anharm

Harmonic properties

../../_images/fig_bandos_pr7045.png

(a) Phonon dispersion with participation ratio and DOS

../../_images/fig_thermo7045.png

(b) Thermodynamic properties

Grüneisen parameters

../../_images/fig_gru_all2937.png

(a) Grüneisen parameters

../../_images/fig_gruneisen2937.png

(b) Phonon dispersion with Grüneisen parameters

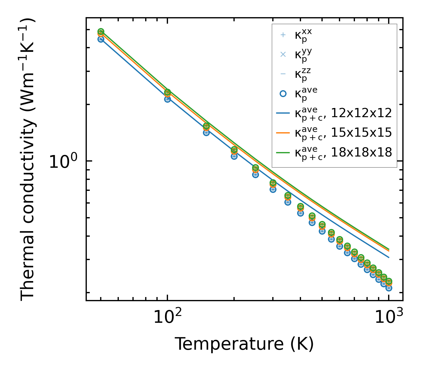
Thermal conductivity

3-phonon — q-mesh: 18x18x18, supercell: 2x2x2

../../_images/fig_kappa5572.png

(a) Temperature-dependent lattice thermal conductivity

../../_images/fig_kappa_vs_grain_size2979.png

(b) Peierls lattice thermal conductivity w.r.t grain size

Phonon lifetime and scattering rates

../../_images/fig_lifetime2913.png

(a) Phonon lifetime due to phonon-phonon scattering

../../_images/fig_scat_rates2912.png

(b) Phonon scattering rates

Cumulative and spectral thermal conductivity

../../_images/fig_cumu_frequency2913.png

(a) Spectral and cumulative thermal conductivity w.r.t frequency

../../_images/fig_cumu_mfp2912.png

(b) Spectral and cumulative thermal conductivity w.r.t MFP

Force constants

../../_images/fig_fc3223.png

(a) Force constants w.r.t atomic distance

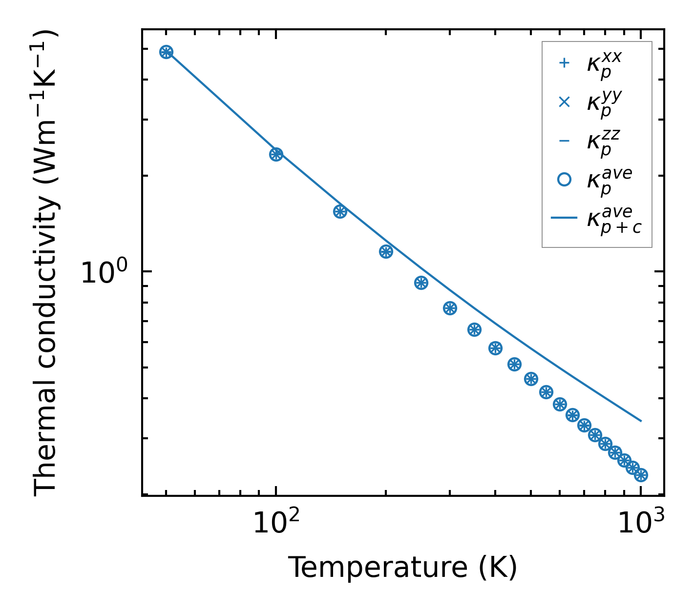
Summary

../../_images/fig_kappa5573.png

(a) Temperature-dependent lattice thermal conductivity

../../_images/fig_times12581.png

(b) Computation time