mp-569282/LiCa10MgSb9/anharm

Harmonic properties

../../_images/fig_bandos_pr7009.png

(a) Phonon dispersion with participation ratio and DOS

../../_images/fig_thermo7009.png

(b) Thermodynamic properties

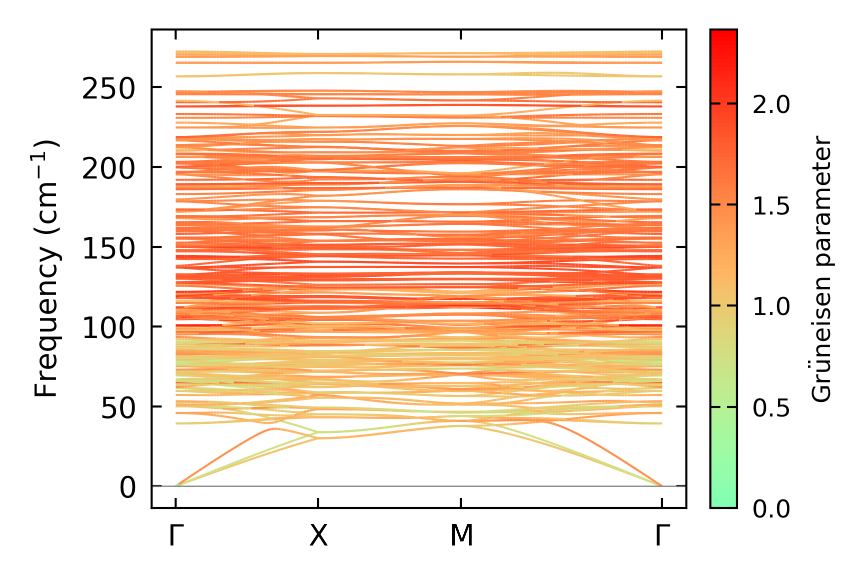
Grüneisen parameters

../../_images/fig_gru_all2915.png

(a) Grüneisen parameters

../../_images/fig_gruneisen2915.png

(b) Phonon dispersion with Grüneisen parameters

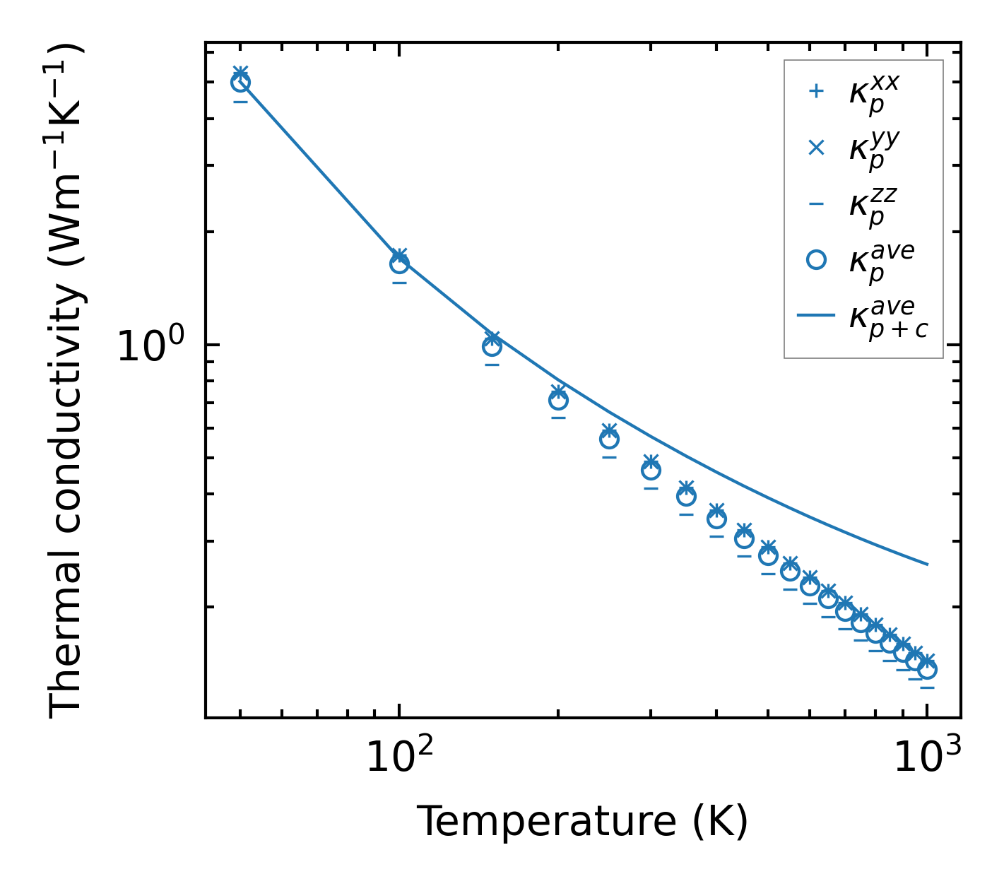
Thermal conductivity

3-phonon (LASSO) — q-mesh: 6x6x4, supercell: 1x1x1

../../_images/fig_kappa5528.png

(a) Temperature-dependent lattice thermal conductivity

../../_images/fig_kappa_vs_grain_size2957.png

(b) Peierls lattice thermal conductivity w.r.t grain size

Phonon lifetime and scattering rates

../../_images/fig_lifetime2891.png

(a) Phonon lifetime due to phonon-phonon scattering

../../_images/fig_scat_rates2890.png

(b) Phonon scattering rates

Cumulative and spectral thermal conductivity

../../_images/fig_cumu_frequency2891.png

(a) Spectral and cumulative thermal conductivity w.r.t frequency

../../_images/fig_cumu_mfp2890.png

(b) Spectral and cumulative thermal conductivity w.r.t MFP

Force constants

../../_images/fig_fc26786.png

(a) Force constants w.r.t atomic distance

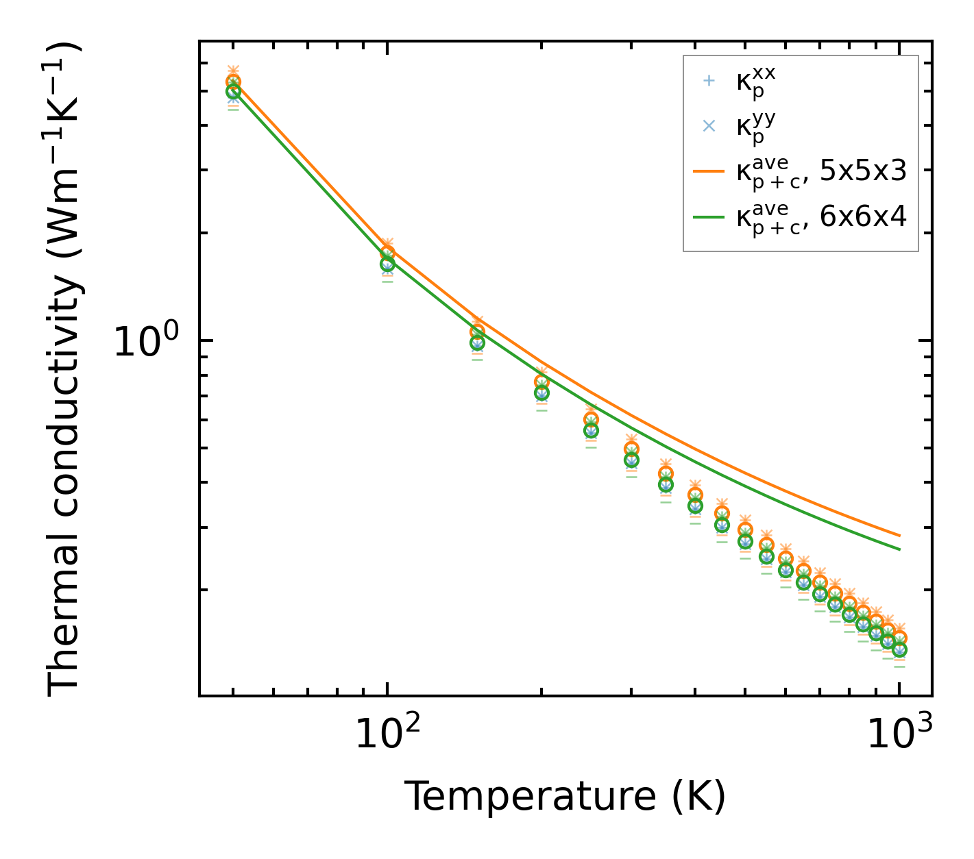
Summary

../../_images/fig_kappa5529.png

(a) Temperature-dependent lattice thermal conductivity

../../_images/fig_times12533.png

(b) Computation time