mp-569168/Ba6NaCu3Te14/anharm

Harmonic properties

../../_images/fig_bandos_pr6997.png

(a) Phonon dispersion with participation ratio and DOS

../../_images/fig_thermo6997.png

(b) Thermodynamic properties

Grüneisen parameters

../../_images/fig_gru_all2907.png

(a) Grüneisen parameters

../../_images/fig_gruneisen2907.png

(b) Phonon dispersion with Grüneisen parameters

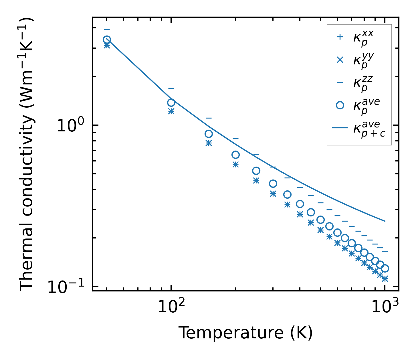
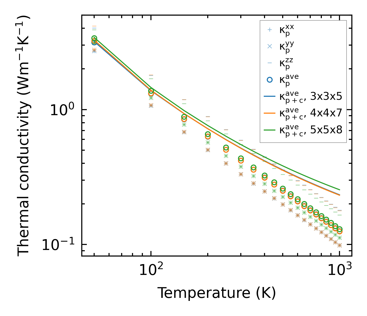
Thermal conductivity

3-phonon (LASSO) — q-mesh: 5x5x8, supercell: 1x1x2

../../_images/fig_kappa5514.png

(a) Temperature-dependent lattice thermal conductivity

../../_images/fig_kappa_vs_grain_size2949.png

(b) Peierls lattice thermal conductivity w.r.t grain size

Phonon lifetime and scattering rates

../../_images/fig_lifetime2883.png

(a) Phonon lifetime due to phonon-phonon scattering

../../_images/fig_scat_rates2882.png

(b) Phonon scattering rates

Cumulative and spectral thermal conductivity

../../_images/fig_cumu_frequency2883.png

(a) Spectral and cumulative thermal conductivity w.r.t frequency

../../_images/fig_cumu_mfp2882.png

(b) Spectral and cumulative thermal conductivity w.r.t MFP

Force constants

../../_images/fig_fc26774.png

(a) Force constants w.r.t atomic distance

Summary

../../_images/fig_kappa5515.png

(a) Temperature-dependent lattice thermal conductivity

../../_images/fig_times12517.png

(b) Computation time