mp-569465/Cs2Nb6PbCl18/anharm

Harmonic properties

../../_images/fig_bandos_pr7026.png

(a) Phonon dispersion with participation ratio and DOS

../../_images/fig_thermo7026.png

(b) Thermodynamic properties

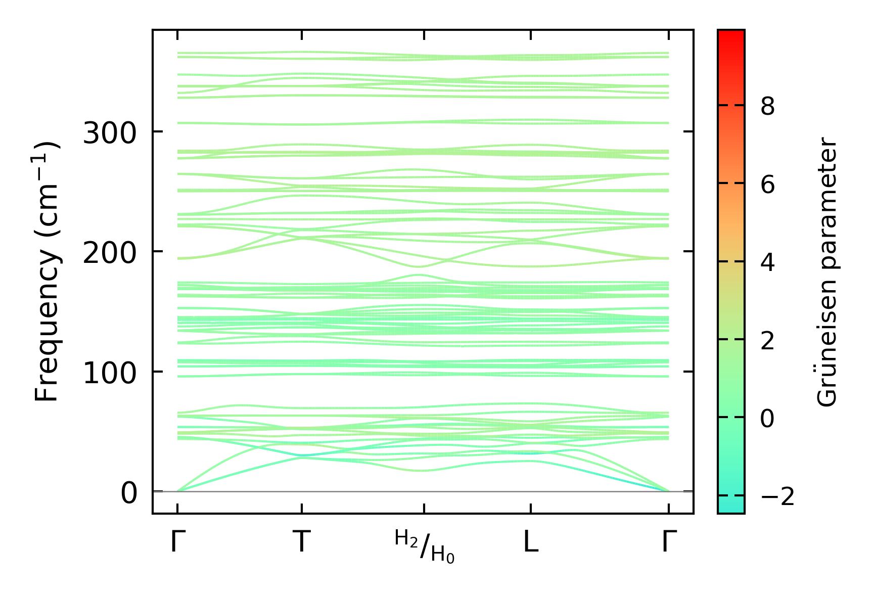
Grüneisen parameters

../../_images/fig_gru_all2926.png

(a) Grüneisen parameters

../../_images/fig_gruneisen2926.png

(b) Phonon dispersion with Grüneisen parameters

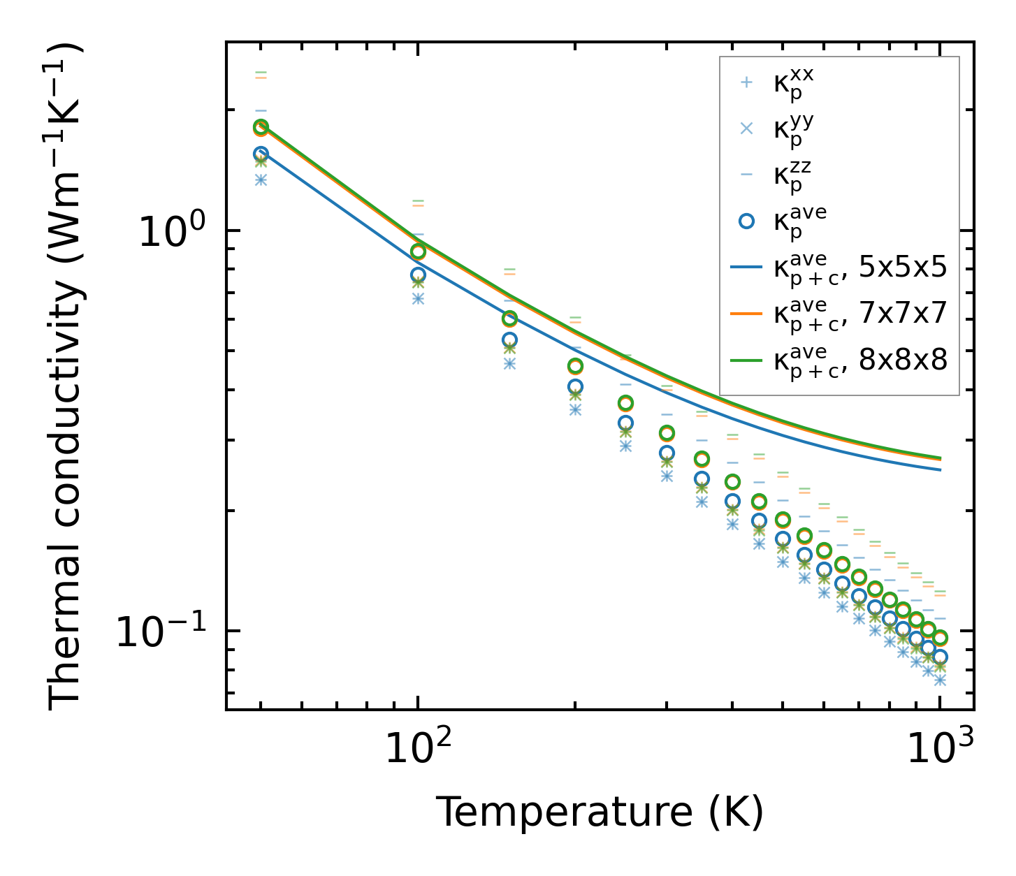
Thermal conductivity

3-phonon (LASSO) — q-mesh: 8x8x8, supercell: 1x1x1

../../_images/fig_kappa5550.png

(a) Temperature-dependent lattice thermal conductivity

../../_images/fig_kappa_vs_grain_size2968.png

(b) Peierls lattice thermal conductivity w.r.t grain size

Phonon lifetime and scattering rates

../../_images/fig_lifetime2902.png

(a) Phonon lifetime due to phonon-phonon scattering

../../_images/fig_scat_rates2901.png

(b) Phonon scattering rates

Cumulative and spectral thermal conductivity

../../_images/fig_cumu_frequency2902.png

(a) Spectral and cumulative thermal conductivity w.r.t frequency

../../_images/fig_cumu_mfp2901.png

(b) Spectral and cumulative thermal conductivity w.r.t MFP

Force constants

../../_images/fig_fc26803.png

(a) Force constants w.r.t atomic distance

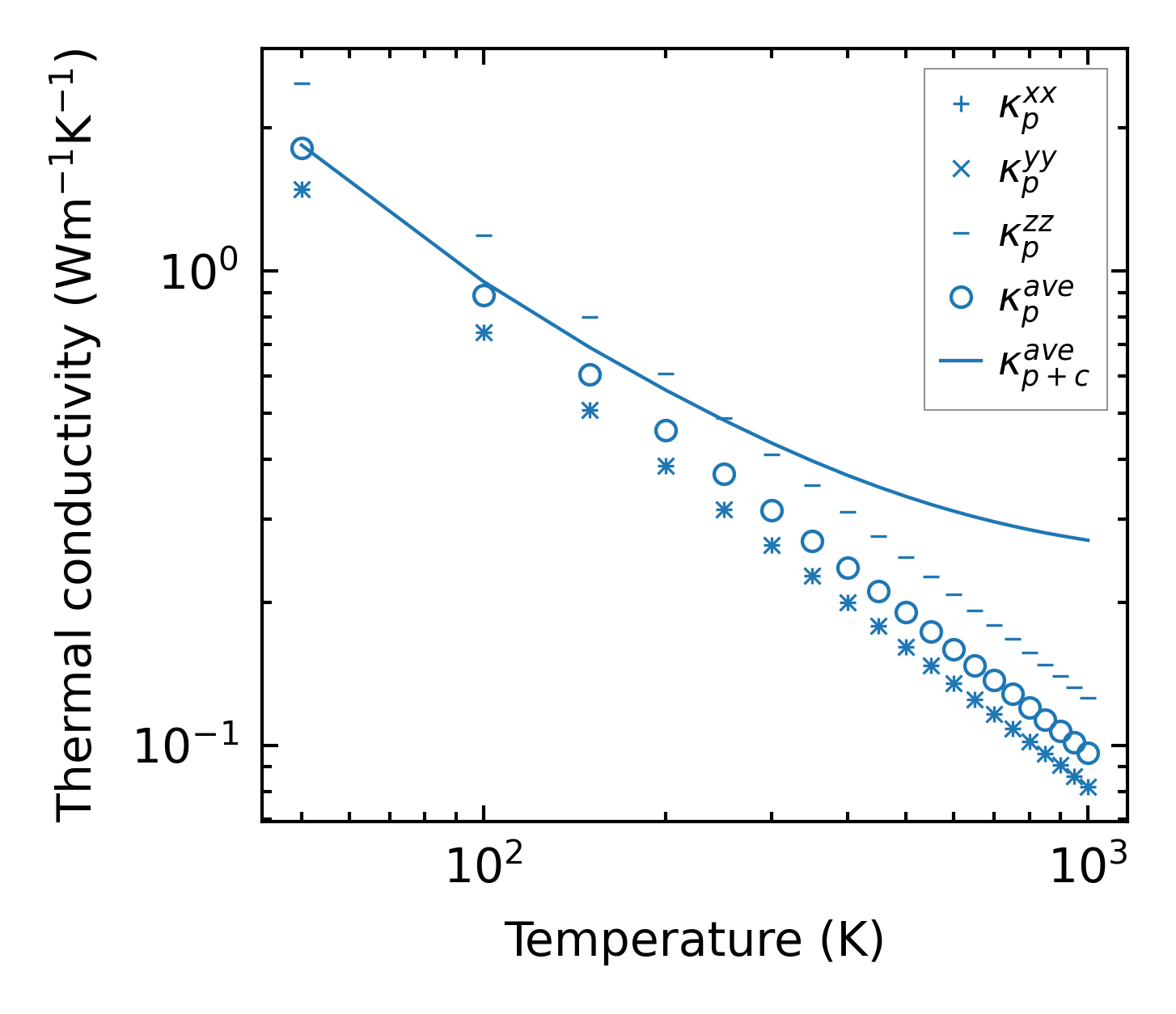
Summary

../../_images/fig_kappa5551.png

(a) Temperature-dependent lattice thermal conductivity

../../_images/fig_times12555.png

(b) Computation time