mp-569378/Rb3Ta2AgSe12/anharm

Harmonic properties

../../_images/fig_bandos_pr7018.png

(a) Phonon dispersion with participation ratio and DOS

../../_images/fig_thermo7018.png

(b) Thermodynamic properties

Grüneisen parameters

../../_images/fig_gru_all2920.png

(a) Grüneisen parameters

../../_images/fig_gruneisen2920.png

(b) Phonon dispersion with Grüneisen parameters

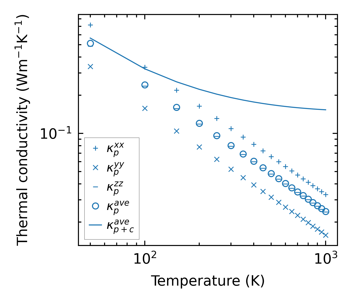
Thermal conductivity

3-phonon (LASSO) — q-mesh: 7x5x4, supercell: 2x1x1

../../_images/fig_kappa5538.png

(a) Temperature-dependent lattice thermal conductivity

../../_images/fig_kappa_vs_grain_size2962.png

(b) Peierls lattice thermal conductivity w.r.t grain size

Phonon lifetime and scattering rates

../../_images/fig_lifetime2896.png

(a) Phonon lifetime due to phonon-phonon scattering

../../_images/fig_scat_rates2895.png

(b) Phonon scattering rates

Cumulative and spectral thermal conductivity

../../_images/fig_cumu_frequency2896.png

(a) Spectral and cumulative thermal conductivity w.r.t frequency

../../_images/fig_cumu_mfp2895.png

(b) Spectral and cumulative thermal conductivity w.r.t MFP

Force constants

../../_images/fig_fc26795.png

(a) Force constants w.r.t atomic distance

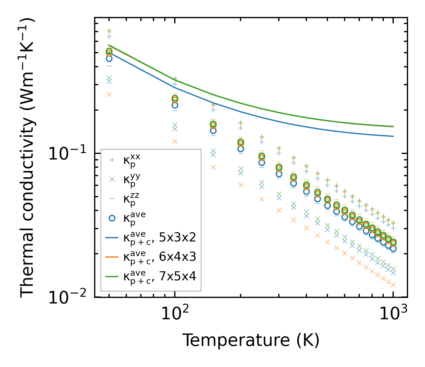
Summary

../../_images/fig_kappa5539.png

(a) Temperature-dependent lattice thermal conductivity

../../_images/fig_times12543.png

(b) Computation time