mp-569450-2/LiB6C/anharm

Equation of state

../../_images/fig_bm3742.png

(a) Equation of state

Harmonic properties

../../_images/fig_bandos_pr7024.png

(a) Phonon dispersion with participation ratio and DOS

../../_images/fig_thermo7024.png

(b) Thermodynamic properties

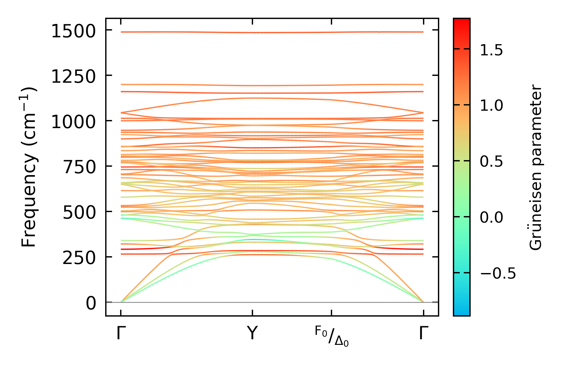
Grüneisen parameters

../../_images/fig_gru_all2925.png

(a) Grüneisen parameters

../../_images/fig_gruneisen2925.png

(b) Phonon dispersion with Grüneisen parameters

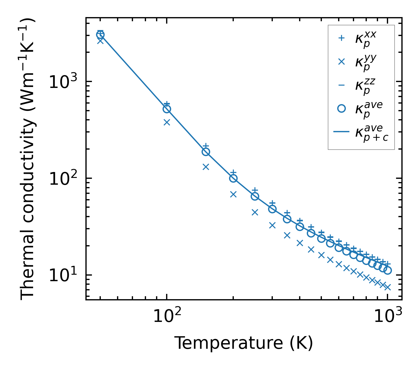
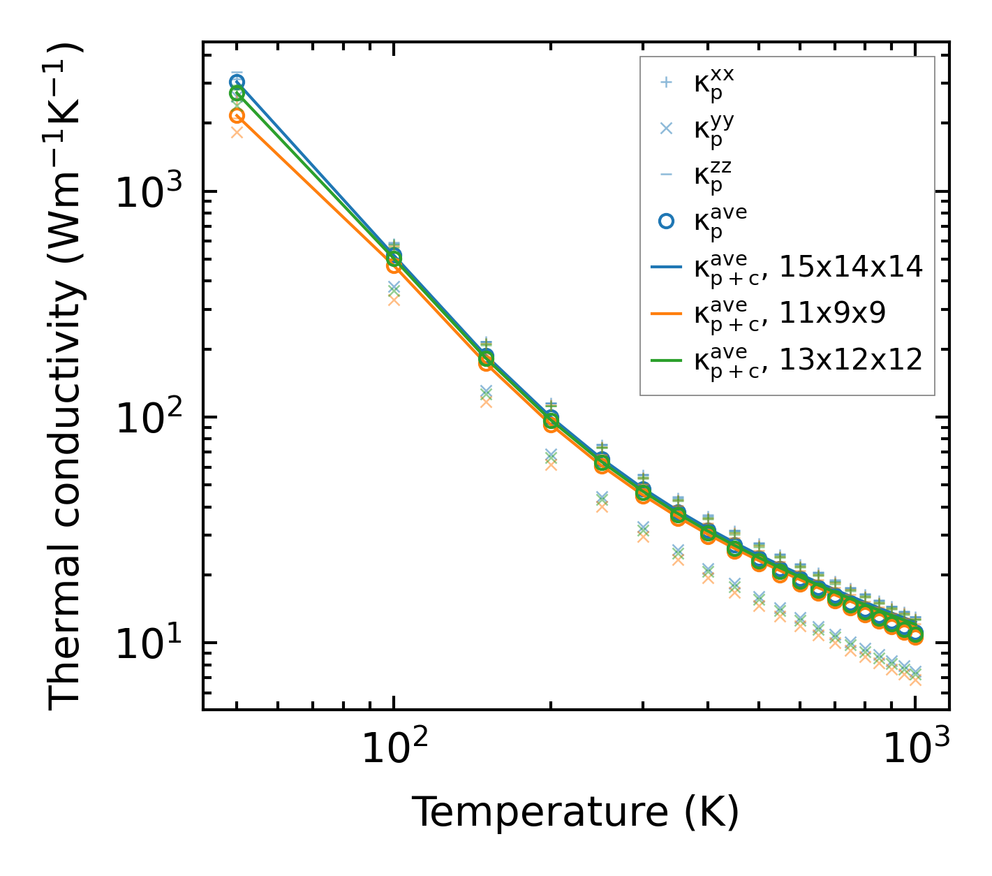
Thermal conductivity

3-phonon (LASSO) — q-mesh: 15x14x14, supercell: 2x1x2

../../_images/fig_kappa5548.png

(a) Temperature-dependent lattice thermal conductivity

../../_images/fig_kappa_vs_grain_size2967.png

(b) Peierls lattice thermal conductivity w.r.t grain size

Phonon lifetime and scattering rates

../../_images/fig_lifetime2901.png

(a) Phonon lifetime due to phonon-phonon scattering

../../_images/fig_scat_rates2900.png

(b) Phonon scattering rates

Cumulative and spectral thermal conductivity

../../_images/fig_cumu_frequency2901.png

(a) Spectral and cumulative thermal conductivity w.r.t frequency

../../_images/fig_cumu_mfp2900.png

(b) Spectral and cumulative thermal conductivity w.r.t MFP

Force constants

../../_images/fig_fc26801.png

(a) Force constants w.r.t atomic distance

Summary

../../_images/fig_kappa5549.png

(a) Temperature-dependent lattice thermal conductivity

../../_images/fig_times12552.png

(b) Computation time