mp-569571/Nb3Sb2Te5/anharm

Harmonic properties

../../_images/fig_bandos_pr7039.png

(a) Phonon dispersion with participation ratio and DOS

../../_images/fig_thermo7039.png

(b) Thermodynamic properties

Grüneisen parameters

../../_images/fig_gru_all2932.png

(a) Grüneisen parameters

../../_images/fig_gruneisen2932.png

(b) Phonon dispersion with Grüneisen parameters

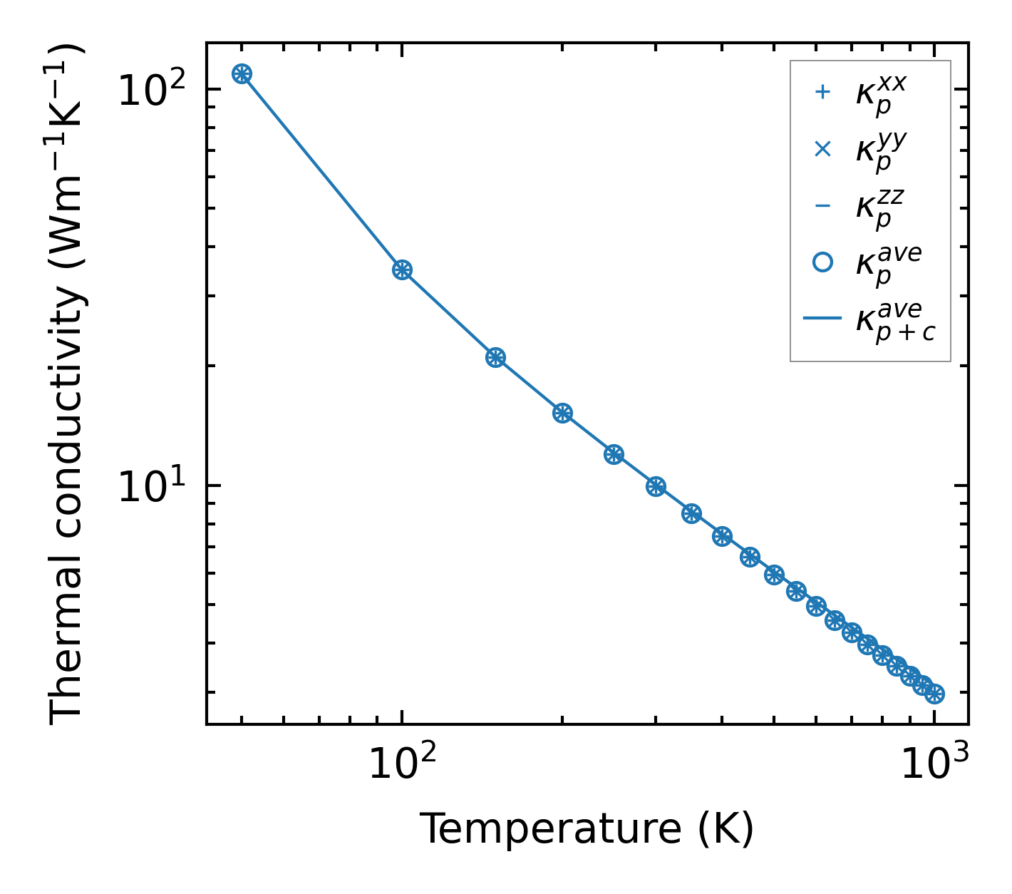
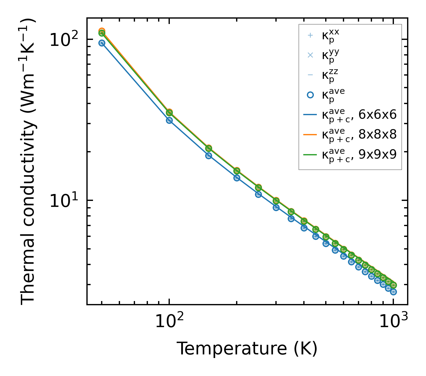
Thermal conductivity

3-phonon (LASSO) — q-mesh: 9x9x9, supercell: 1x1x1

../../_images/fig_kappa5562.png

(a) Temperature-dependent lattice thermal conductivity

../../_images/fig_kappa_vs_grain_size2974.png

(b) Peierls lattice thermal conductivity w.r.t grain size

Phonon lifetime and scattering rates

../../_images/fig_lifetime2908.png

(a) Phonon lifetime due to phonon-phonon scattering

../../_images/fig_scat_rates2907.png

(b) Phonon scattering rates

Cumulative and spectral thermal conductivity

../../_images/fig_cumu_frequency2908.png

(a) Spectral and cumulative thermal conductivity w.r.t frequency

../../_images/fig_cumu_mfp2907.png

(b) Spectral and cumulative thermal conductivity w.r.t MFP

Force constants

../../_images/fig_fc26816.png

(a) Force constants w.r.t atomic distance

Summary

../../_images/fig_kappa5563.png

(a) Temperature-dependent lattice thermal conductivity

../../_images/fig_times12573.png

(b) Computation time