mp-569754/Ba7Sn3Se13/anharm

Harmonic properties

../../_images/fig_bandos_pr7053.png

(a) Phonon dispersion with participation ratio and DOS

../../_images/fig_thermo7053.png

(b) Thermodynamic properties

Grüneisen parameters

../../_images/fig_gru_all2941.png

(a) Grüneisen parameters

../../_images/fig_gruneisen2941.png

(b) Phonon dispersion with Grüneisen parameters

Thermal conductivity

3-phonon (LASSO) — q-mesh: 5x2x7, supercell: 1x1x1

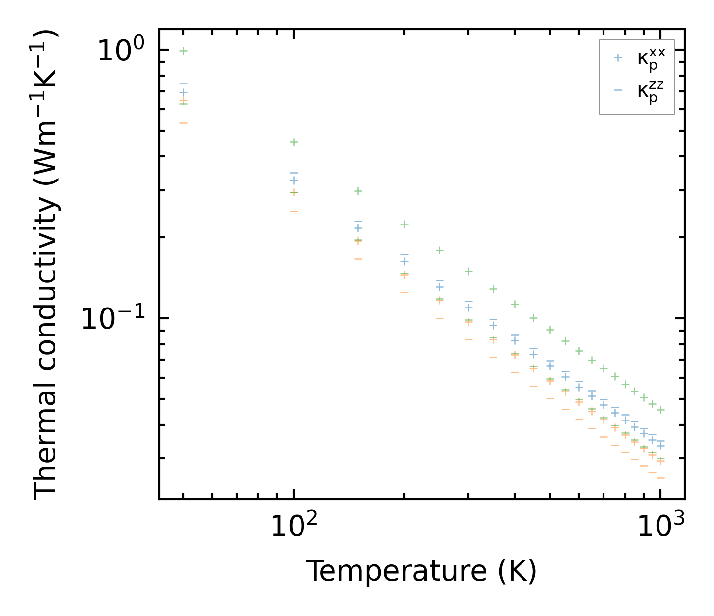
../../_images/fig_kappa5580.png

(a) Temperature-dependent lattice thermal conductivity

../../_images/fig_kappa_vs_grain_size2983.png

(b) Peierls lattice thermal conductivity w.r.t grain size

Phonon lifetime and scattering rates

../../_images/fig_lifetime2917.png

(a) Phonon lifetime due to phonon-phonon scattering

../../_images/fig_scat_rates2916.png

(b) Phonon scattering rates

Cumulative and spectral thermal conductivity

../../_images/fig_cumu_frequency2917.png

(a) Spectral and cumulative thermal conductivity w.r.t frequency

../../_images/fig_cumu_mfp2916.png

(b) Spectral and cumulative thermal conductivity w.r.t MFP

Force constants

../../_images/fig_fc26829.png

(a) Force constants w.r.t atomic distance

Summary

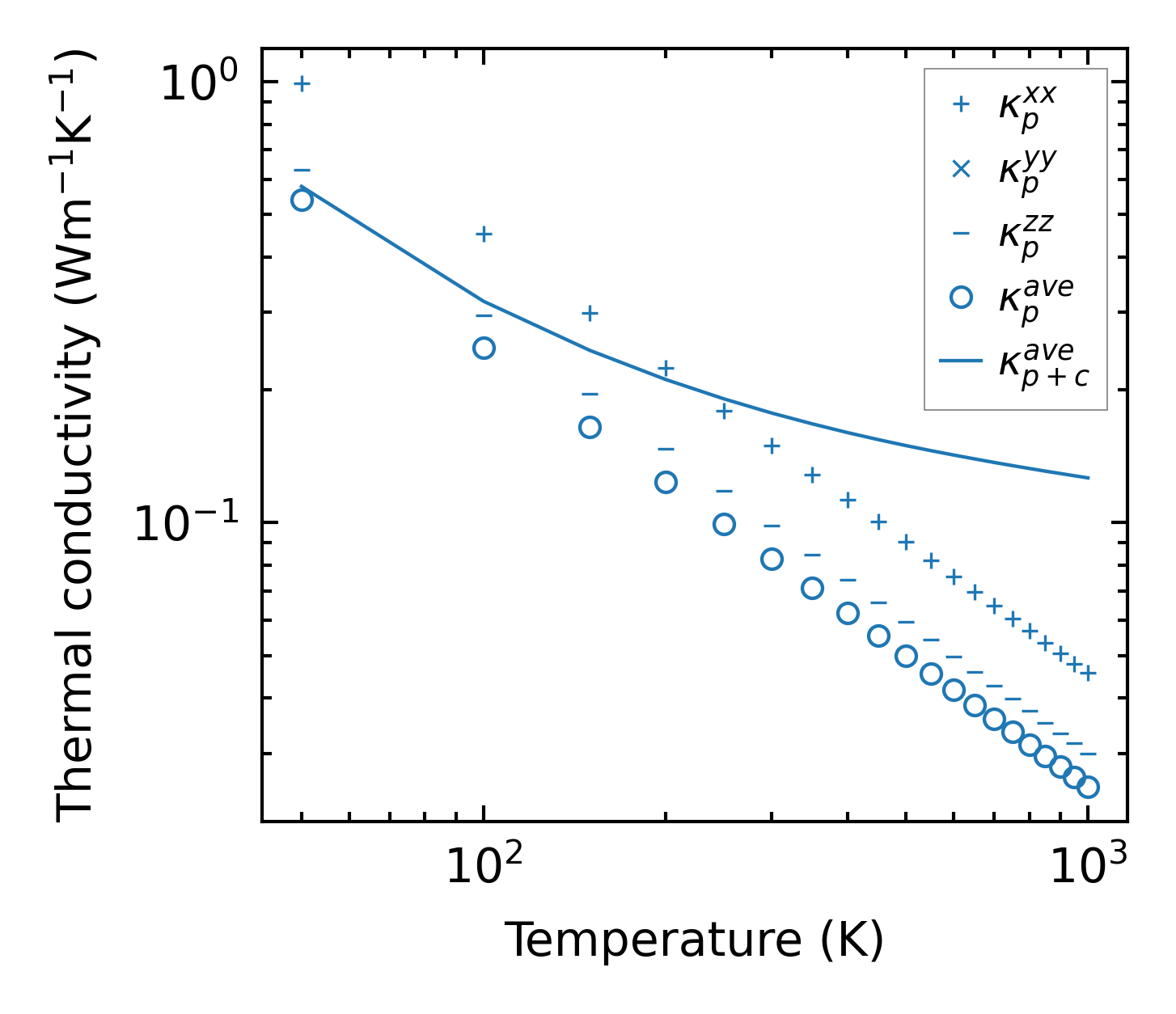
../../_images/fig_kappa5581.png

(a) Temperature-dependent lattice thermal conductivity

../../_images/fig_times12595.png

(b) Computation time