mp-569051/MgH2/anharm

Harmonic properties

../../_images/fig_bandos_pr6985.png

(a) Phonon dispersion with participation ratio and DOS

../../_images/fig_thermo6985.png

(b) Thermodynamic properties

Grüneisen parameters

../../_images/fig_gru_all2898.png

(a) Grüneisen parameters

../../_images/fig_gruneisen2898.png

(b) Phonon dispersion with Grüneisen parameters

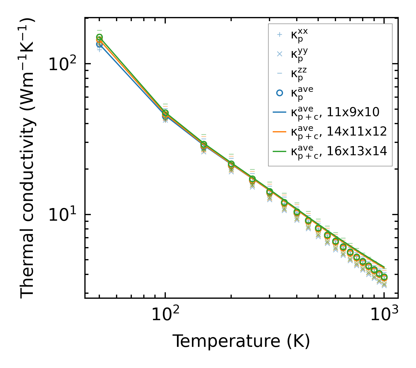
Thermal conductivity

3-phonon (LASSO) — q-mesh: 16x13x14, supercell: 2x3x2

../../_images/fig_kappa5497.png

(a) Temperature-dependent lattice thermal conductivity

../../_images/fig_kappa_vs_grain_size2940.png

(b) Peierls lattice thermal conductivity w.r.t grain size

Phonon lifetime and scattering rates

../../_images/fig_lifetime2874.png

(a) Phonon lifetime due to phonon-phonon scattering

../../_images/fig_scat_rates2873.png

(b) Phonon scattering rates

Cumulative and spectral thermal conductivity

../../_images/fig_cumu_frequency2874.png

(a) Spectral and cumulative thermal conductivity w.r.t frequency

../../_images/fig_cumu_mfp2873.png

(b) Spectral and cumulative thermal conductivity w.r.t MFP

Force constants

../../_images/fig_fc26763.png

(a) Force constants w.r.t atomic distance

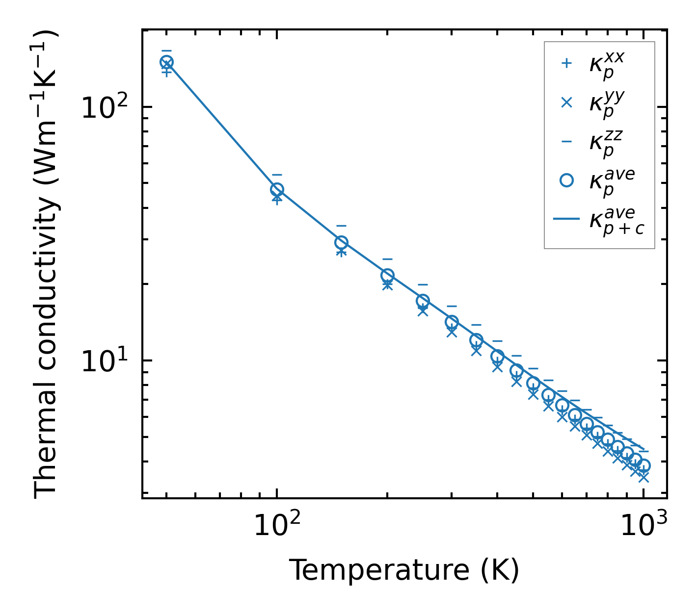
Summary

../../_images/fig_kappa5498.png

(a) Temperature-dependent lattice thermal conductivity

../../_images/fig_times12497.png

(b) Computation time