mp-569653/SnPCl9/harm

Harmonic properties

../../_images/fig_bandos_pr7046.png

(a) Phonon dispersion with participation ratio and DOS

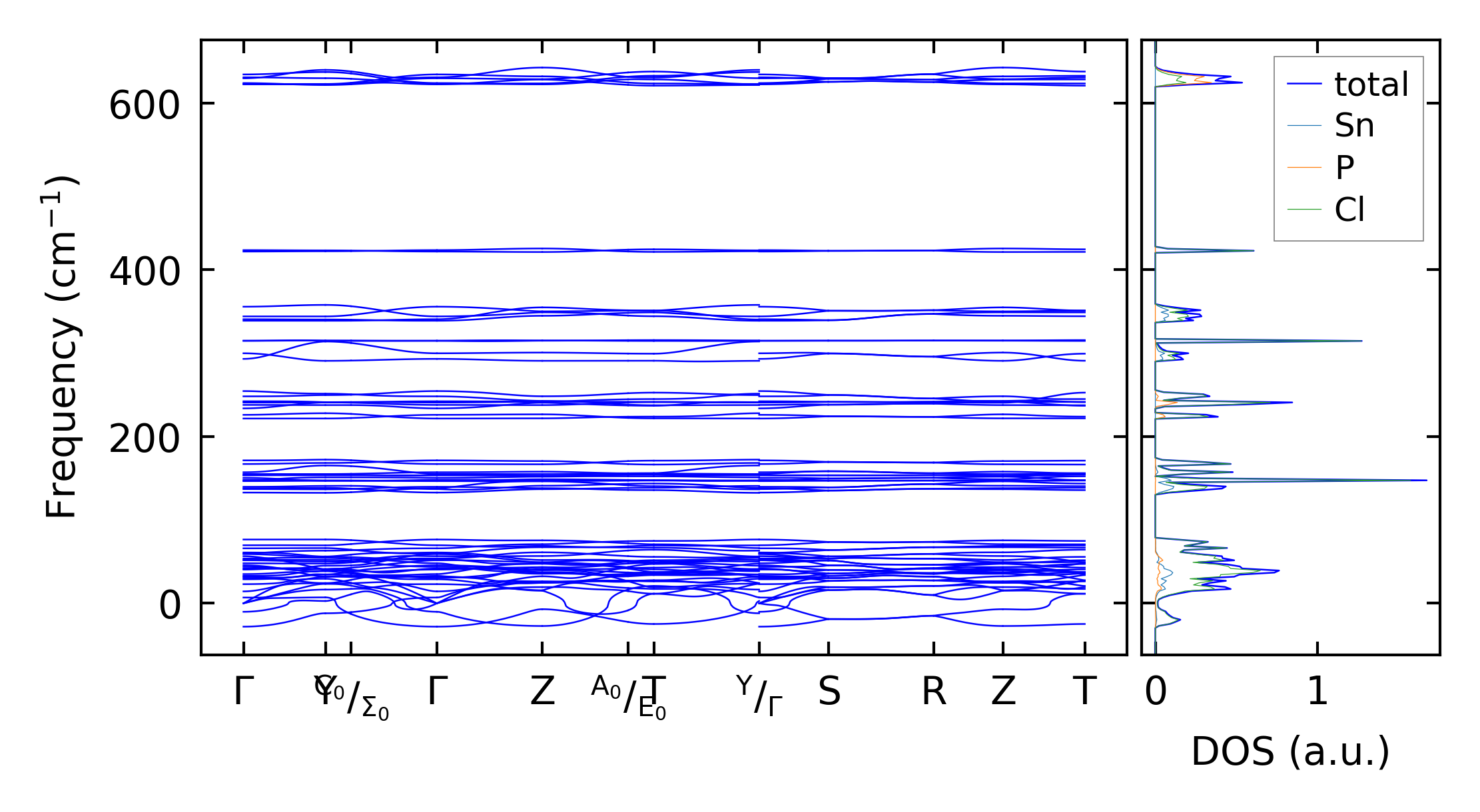
../../_images/fig_bandos10019.png

(b) Phonon dispersion and DOS

../../_images/fig_thermo7046.png

(c) Thermodynamic properties

Force constants

../../_images/fig_fc26822.png

(a) Force constants w.r.t atomic distance

Summary

../../_images/fig_times12582.png

(a) Computation time