mp-569224/SbI3/anharm

Equation of state

../../_images/fig_bm3739.png

(a) Equation of state

Harmonic properties

../../_images/fig_bandos_pr7004.png

(a) Phonon dispersion with participation ratio and DOS

../../_images/fig_bandos9989.png

(b) Phonon dispersion and DOS

../../_images/fig_thermo7004.png

(c) Thermodynamic properties

Grüneisen parameters

../../_images/fig_gru_all2912.png

(a) Grüneisen parameters

../../_images/fig_gruneisen2912.png

(b) Phonon dispersion with Grüneisen parameters

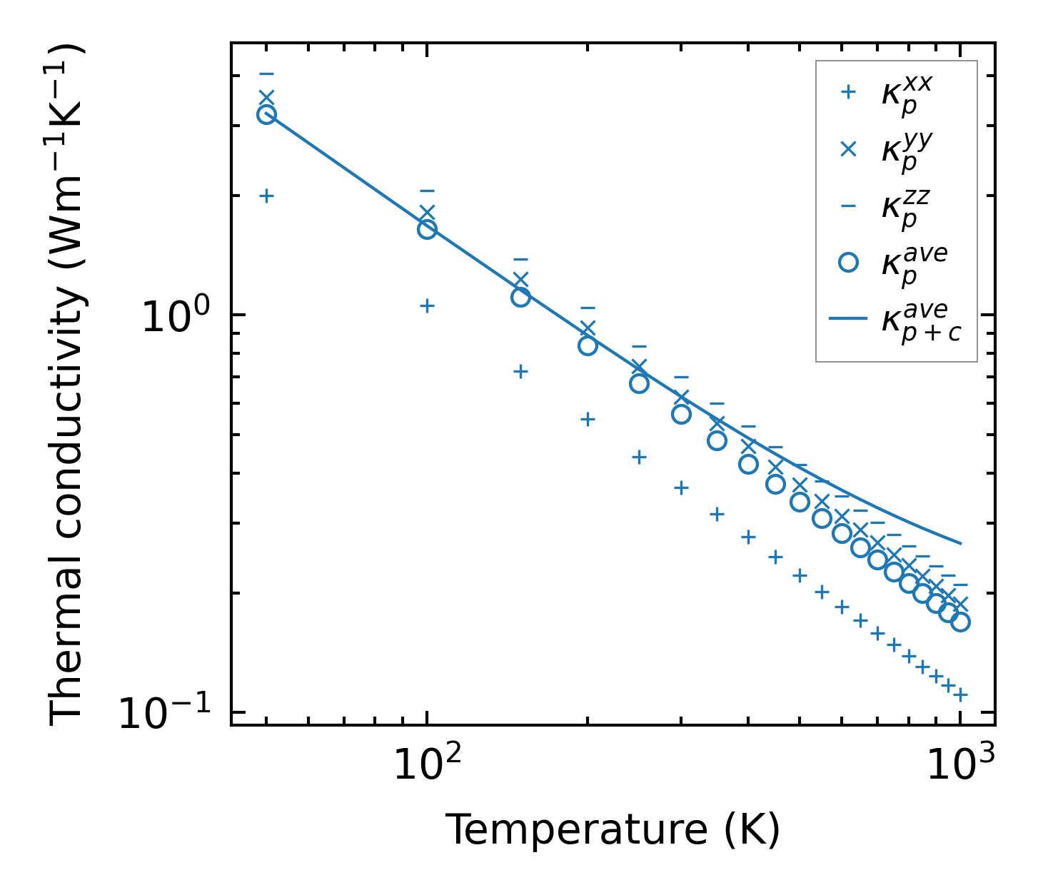
Thermal conductivity

3-phonon (LASSO), supercell 3x2x2 — q-mesh: 9x5x9, supercell: 3x2x2

../../_images/fig_kappa5523.png

(a) Temperature-dependent lattice thermal conductivity

../../_images/fig_kappa_vs_grain_size2954.png

(b) Peierls lattice thermal conductivity w.r.t grain size

Phonon lifetime and scattering rates

../../_images/fig_lifetime2888.png

(a) Phonon lifetime due to phonon-phonon scattering

../../_images/fig_scat_rates2887.png

(b) Phonon scattering rates

Cumulative and spectral thermal conductivity

../../_images/fig_cumu_frequency2888.png

(a) Spectral and cumulative thermal conductivity w.r.t frequency

../../_images/fig_cumu_mfp2887.png

(b) Spectral and cumulative thermal conductivity w.r.t MFP

Force constants

../../_images/fig_fc26781.png

(a) Force constants w.r.t atomic distance

Summary

../../_images/fig_times12527.png

(a) Computation time