mp-569862/Rb4P2Se9/harm

Harmonic properties

../../_images/fig_bandos_pr7066.png

(a) Phonon dispersion with participation ratio and DOS

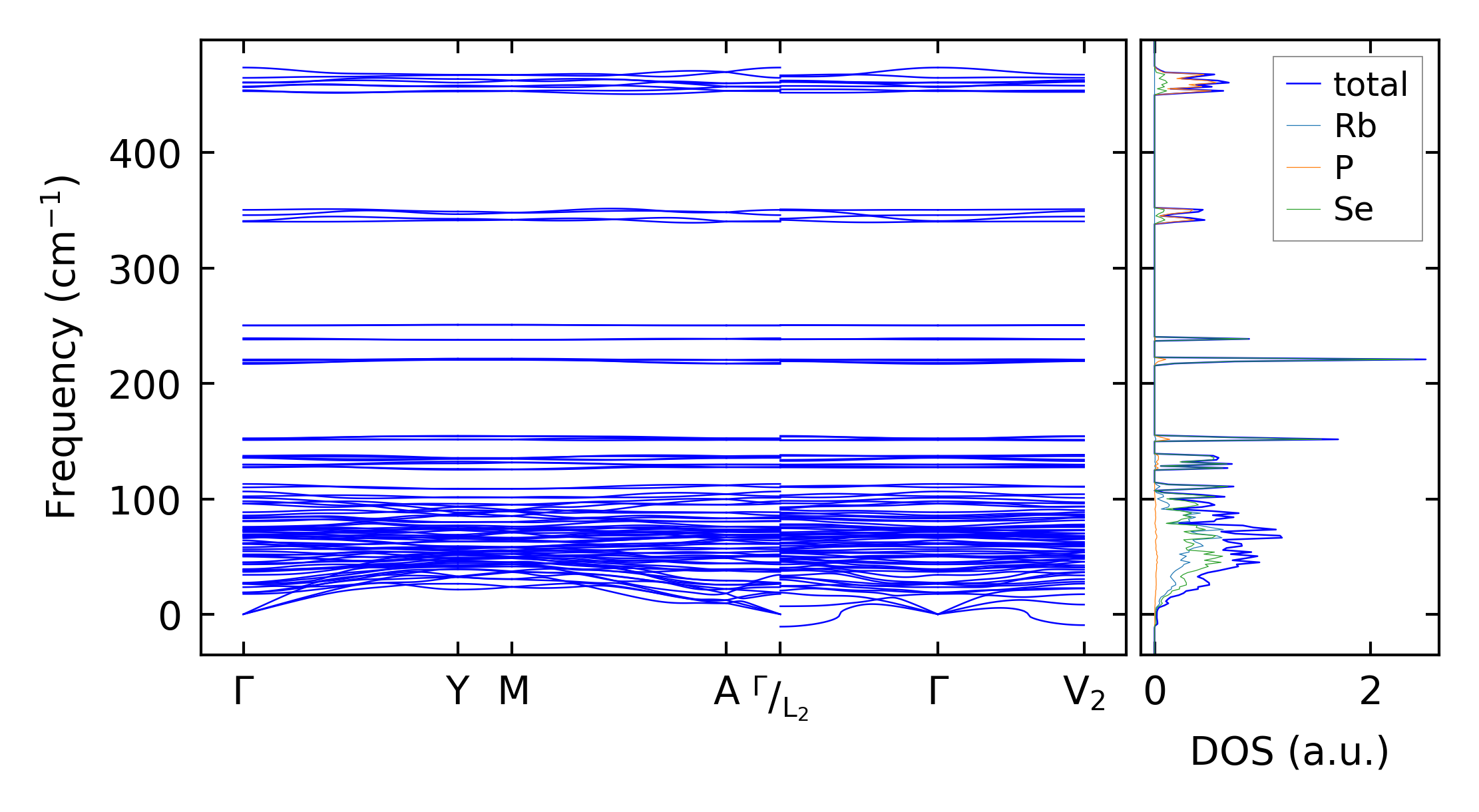
../../_images/fig_bandos10042.png

(b) Phonon dispersion and DOS

../../_images/fig_thermo7066.png

(c) Thermodynamic properties

Force constants

../../_images/fig_fc26842.png

(a) Force constants w.r.t atomic distance

Summary

../../_images/fig_times12614.png

(a) Computation time