mp-1190998/PrPS/anharm

Harmonic properties

../../_images/fig_bandos_pr16042.png

(a) Phonon dispersion with participation ratio and DOS

../../_images/fig_thermo16041.png

(b) Thermodynamic properties

Grüneisen parameters

../../_images/fig_gru_all6959.png

(a) Grüneisen parameters

../../_images/fig_gruneisen6959.png

(b) Phonon dispersion with Grüneisen parameters

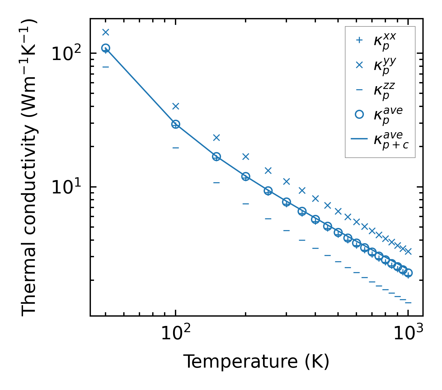
Thermal conductivity

3-phonon (LASSO) — q-mesh: 12x13x4, supercell: 2x3x1

../../_images/fig_kappa13099.png

(a) Temperature-dependent lattice thermal conductivity

../../_images/fig_kappa_vs_grain_size7040.png

(b) Peierls lattice thermal conductivity w.r.t grain size

Phonon lifetime and scattering rates

../../_images/fig_lifetime6893.png

(a) Phonon lifetime due to phonon-phonon scattering

../../_images/fig_scat_rates6892.png

(b) Phonon scattering rates

Cumulative and spectral thermal conductivity

../../_images/fig_cumu_frequency6893.png

(a) Spectral and cumulative thermal conductivity w.r.t frequency

../../_images/fig_cumu_mfp6892.png

(b) Spectral and cumulative thermal conductivity w.r.t MFP

Force constants

../../_images/fig_fc215637.png

(a) Force constants w.r.t atomic distance

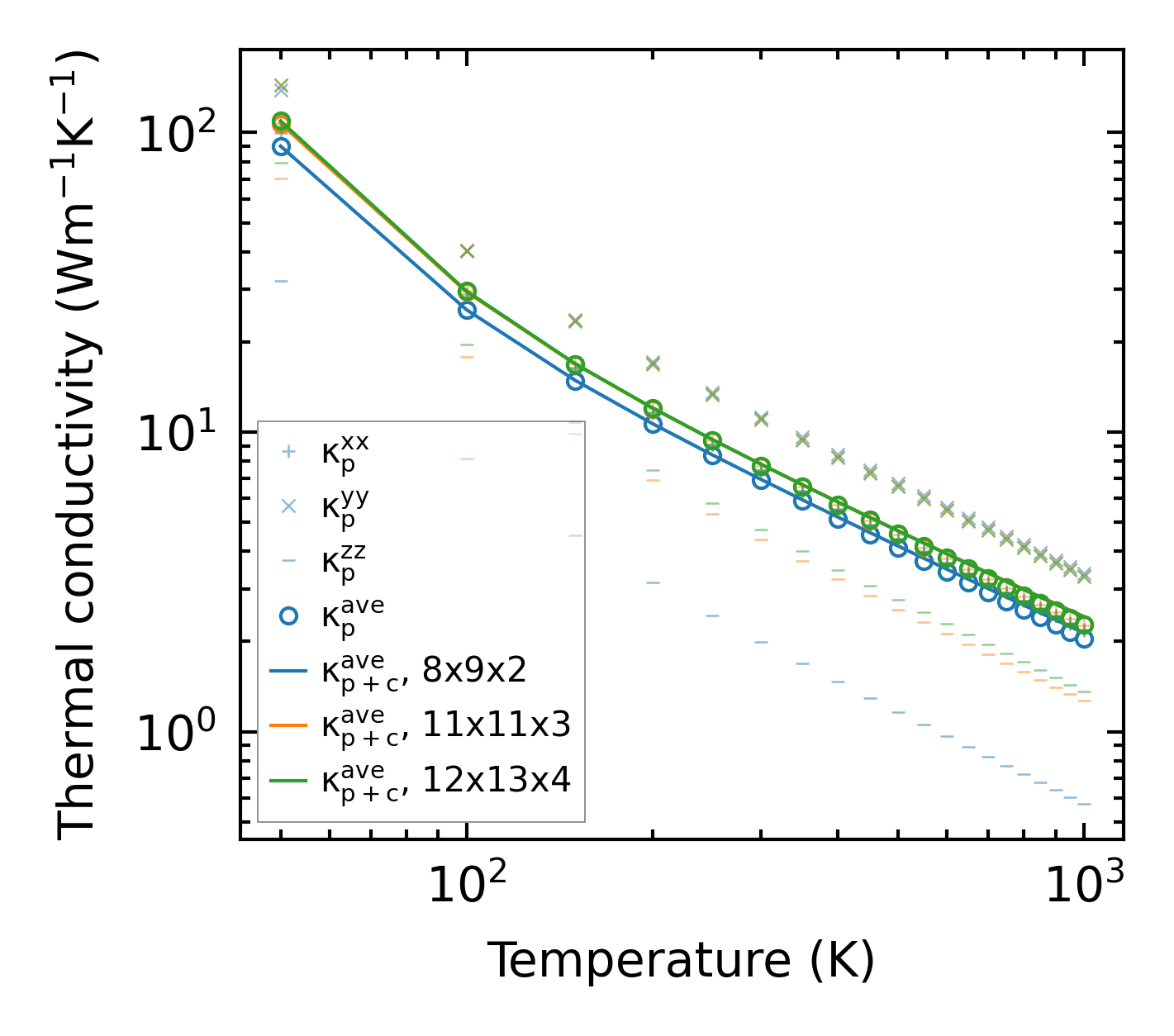
Summary

../../_images/fig_kappa13100.png

(a) Temperature-dependent lattice thermal conductivity

../../_images/fig_times26399.png

(b) Computation time