mp-1190574/HoPS/anharm

Harmonic properties

../../_images/fig_bandos_pr16004.png

(a) Phonon dispersion with participation ratio and DOS

../../_images/fig_thermo16003.png

(b) Thermodynamic properties

Grüneisen parameters

../../_images/fig_gru_all6941.png

(a) Grüneisen parameters

../../_images/fig_gruneisen6941.png

(b) Phonon dispersion with Grüneisen parameters

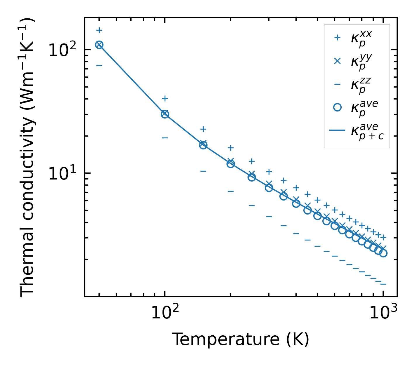
Thermal conductivity

3-phonon (LASSO) — q-mesh: 13x13x4, supercell: 2x3x1

../../_images/fig_kappa13070.png

(a) Temperature-dependent lattice thermal conductivity

../../_images/fig_kappa_vs_grain_size7022.png

(b) Peierls lattice thermal conductivity w.r.t grain size

Phonon lifetime and scattering rates

../../_images/fig_lifetime6875.png

(a) Phonon lifetime due to phonon-phonon scattering

../../_images/fig_scat_rates6874.png

(b) Phonon scattering rates

Cumulative and spectral thermal conductivity

../../_images/fig_cumu_frequency6875.png

(a) Spectral and cumulative thermal conductivity w.r.t frequency

../../_images/fig_cumu_mfp6874.png

(b) Spectral and cumulative thermal conductivity w.r.t MFP

Force constants

../../_images/fig_fc215599.png

(a) Force constants w.r.t atomic distance

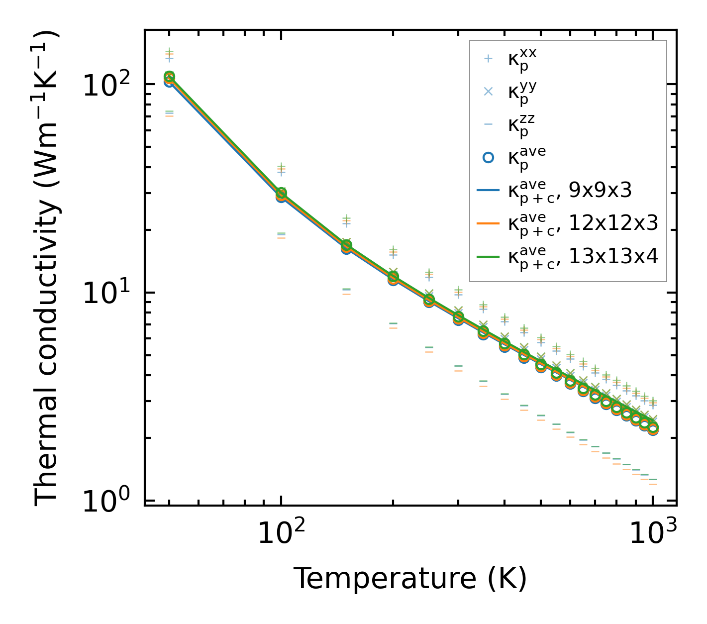
Summary

../../_images/fig_kappa13071.png

(a) Temperature-dependent lattice thermal conductivity

../../_images/fig_times26348.png

(b) Computation time