mp-1190024/Ba3NaSbO6/anharm

Harmonic properties

../../_images/fig_bandos_pr15952.png

(a) Phonon dispersion with participation ratio and DOS

../../_images/fig_thermo15951.png

(b) Thermodynamic properties

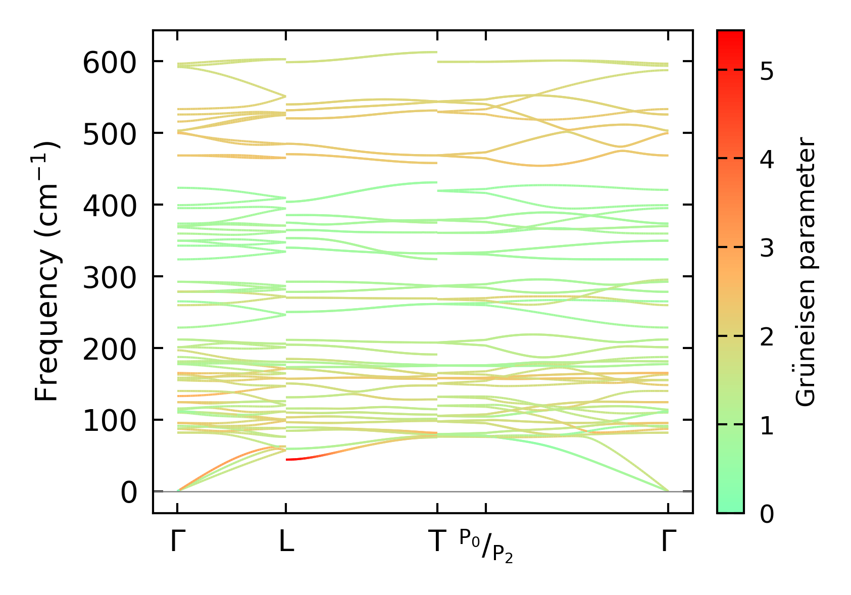
Grüneisen parameters

../../_images/fig_gru_all6917.png

(a) Grüneisen parameters

../../_images/fig_gruneisen6917.png

(b) Phonon dispersion with Grüneisen parameters

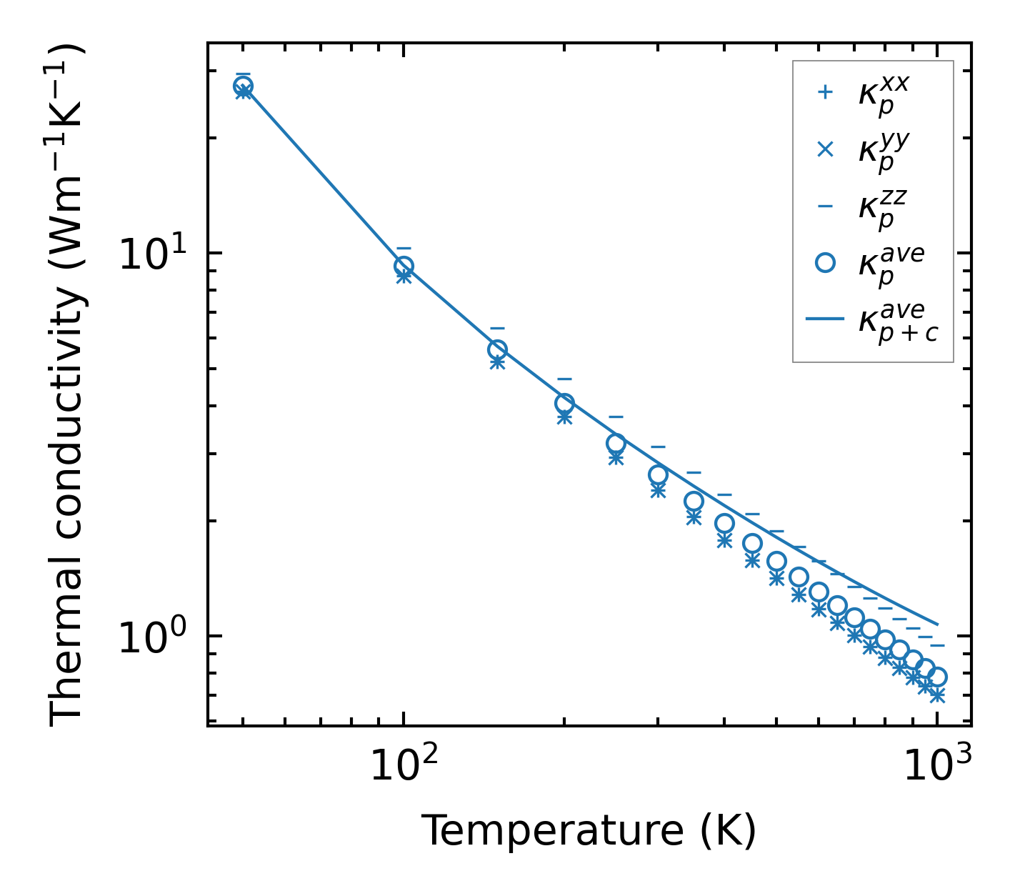
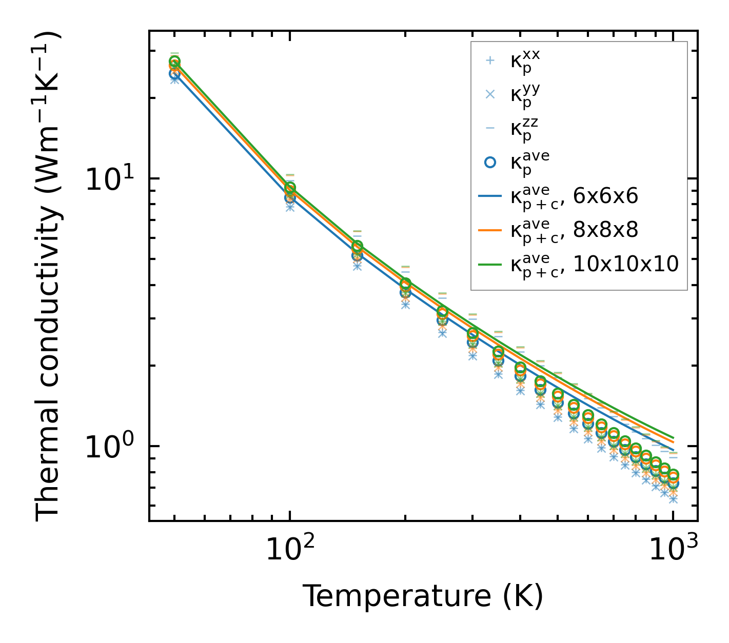
Thermal conductivity

3-phonon (LASSO) — q-mesh: 10x10x10, supercell: 1x1x1

../../_images/fig_kappa13023.png

(a) Temperature-dependent lattice thermal conductivity

../../_images/fig_kappa_vs_grain_size6998.png

(b) Peierls lattice thermal conductivity w.r.t grain size

Phonon lifetime and scattering rates

../../_images/fig_lifetime6851.png

(a) Phonon lifetime due to phonon-phonon scattering

../../_images/fig_scat_rates6850.png

(b) Phonon scattering rates

Cumulative and spectral thermal conductivity

../../_images/fig_cumu_frequency6851.png

(a) Spectral and cumulative thermal conductivity w.r.t frequency

../../_images/fig_cumu_mfp6850.png

(b) Spectral and cumulative thermal conductivity w.r.t MFP

Force constants

../../_images/fig_fc215547.png

(a) Force constants w.r.t atomic distance

Summary

../../_images/fig_kappa13024.png

(a) Temperature-dependent lattice thermal conductivity

../../_images/fig_times26269.png

(b) Computation time