mp-1190188/Ba2Ge5Ir4/anharm

Harmonic properties

../../_images/fig_bandos_pr15964.png

(a) Phonon dispersion with participation ratio and DOS

../../_images/fig_thermo15963.png

(b) Thermodynamic properties

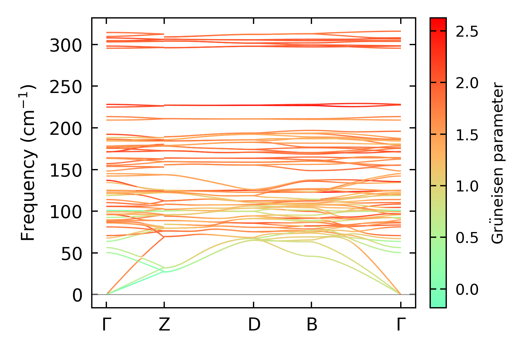
Grüneisen parameters

../../_images/fig_gru_all6925.png

(a) Grüneisen parameters

../../_images/fig_gruneisen6925.png

(b) Phonon dispersion with Grüneisen parameters

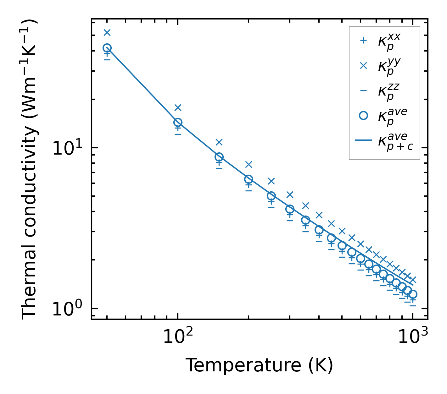
Thermal conductivity

3-phonon (LASSO) — q-mesh: 11x6x11, supercell: 2x1x2

../../_images/fig_kappa13039.png

(a) Temperature-dependent lattice thermal conductivity

../../_images/fig_kappa_vs_grain_size7006.png

(b) Peierls lattice thermal conductivity w.r.t grain size

Phonon lifetime and scattering rates

../../_images/fig_lifetime6859.png

(a) Phonon lifetime due to phonon-phonon scattering

../../_images/fig_scat_rates6858.png

(b) Phonon scattering rates

Cumulative and spectral thermal conductivity

../../_images/fig_cumu_frequency6859.png

(a) Spectral and cumulative thermal conductivity w.r.t frequency

../../_images/fig_cumu_mfp6858.png

(b) Spectral and cumulative thermal conductivity w.r.t MFP

Force constants

../../_images/fig_fc215559.png

(a) Force constants w.r.t atomic distance

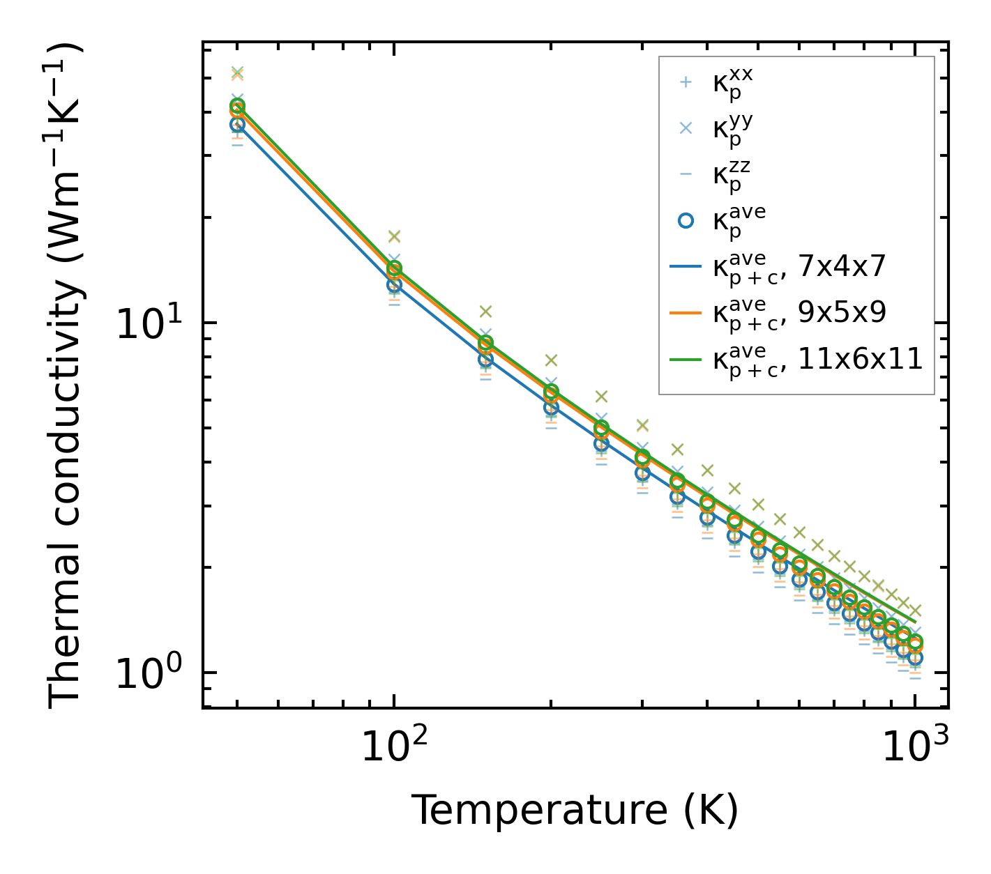
Summary

../../_images/fig_kappa13040.png

(a) Temperature-dependent lattice thermal conductivity

../../_images/fig_times26288.png

(b) Computation time