mp-1190246/Ir2Pb2O7/anharm

Harmonic properties

../../_images/fig_bandos_pr15968.png

(a) Phonon dispersion with participation ratio and DOS

../../_images/fig_thermo15967.png

(b) Thermodynamic properties

Grüneisen parameters

../../_images/fig_gru_all6927.png

(a) Grüneisen parameters

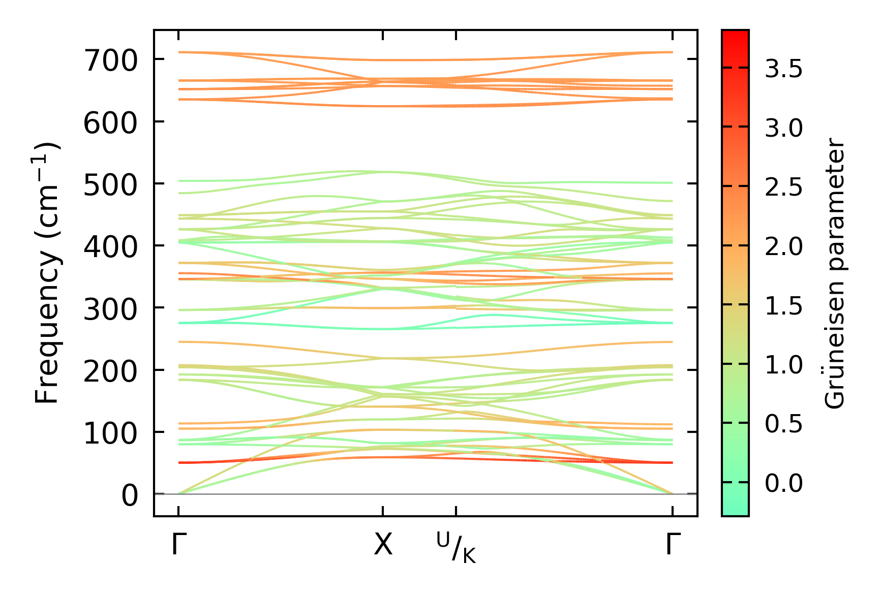
../../_images/fig_gruneisen6927.png

(b) Phonon dispersion with Grüneisen parameters

Thermal conductivity

3-phonon (LASSO) — q-mesh: 11x11x11, supercell: 1x1x1

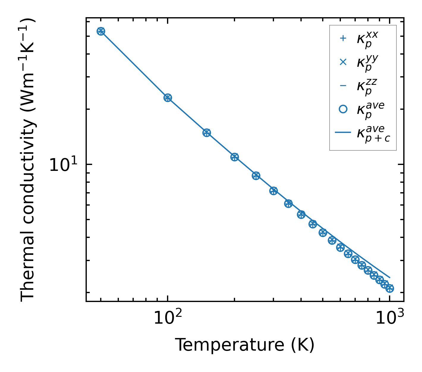
../../_images/fig_kappa13043.png

(a) Temperature-dependent lattice thermal conductivity

../../_images/fig_kappa_vs_grain_size7008.png

(b) Peierls lattice thermal conductivity w.r.t grain size

Phonon lifetime and scattering rates

../../_images/fig_lifetime6861.png

(a) Phonon lifetime due to phonon-phonon scattering

../../_images/fig_scat_rates6860.png

(b) Phonon scattering rates

Cumulative and spectral thermal conductivity

../../_images/fig_cumu_frequency6861.png

(a) Spectral and cumulative thermal conductivity w.r.t frequency

../../_images/fig_cumu_mfp6860.png

(b) Spectral and cumulative thermal conductivity w.r.t MFP

Force constants

../../_images/fig_fc215563.png

(a) Force constants w.r.t atomic distance

Summary

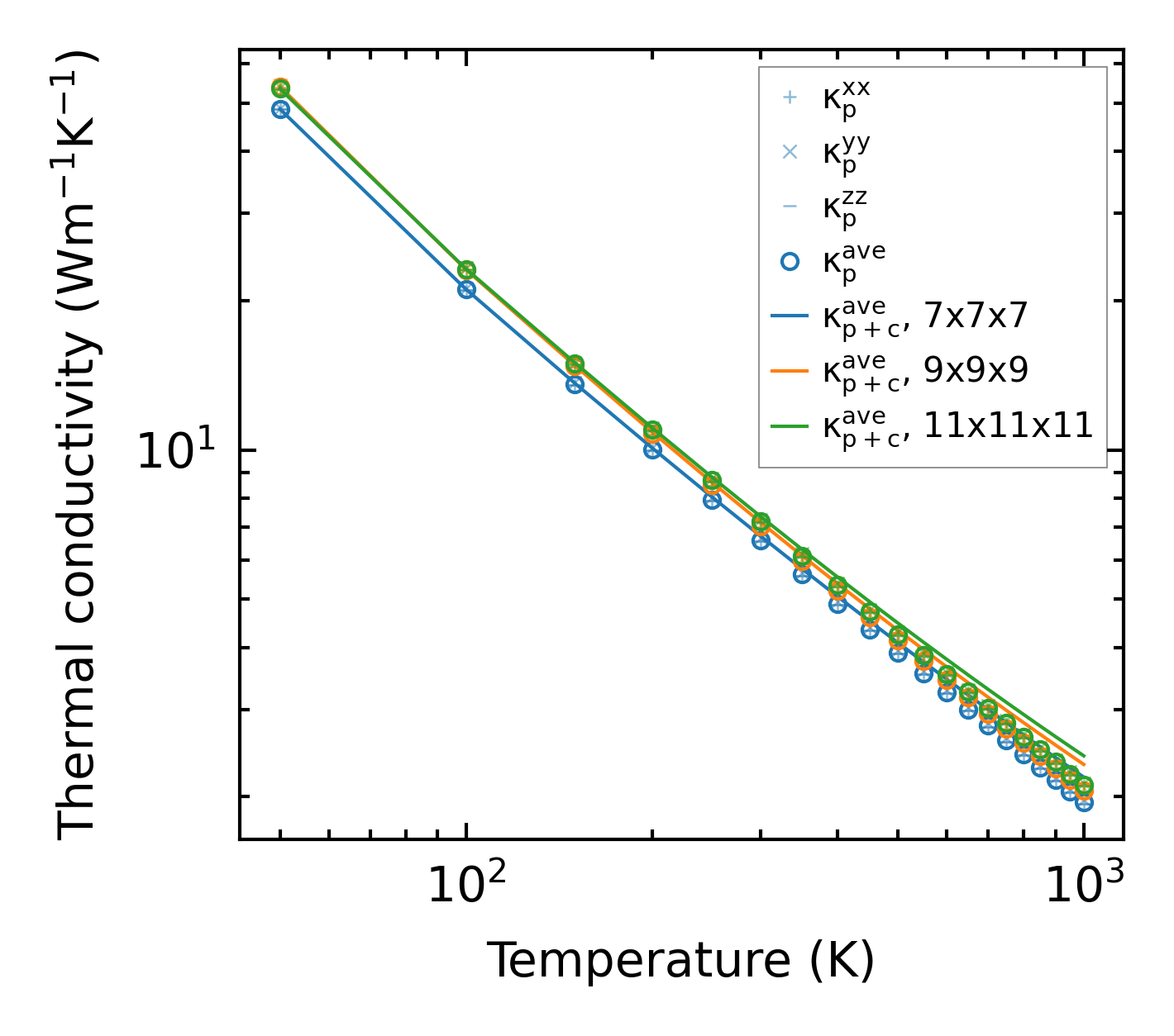
../../_images/fig_kappa13044.png

(a) Temperature-dependent lattice thermal conductivity

../../_images/fig_times26293.png

(b) Computation time