mp-1190186/ZrO2/anharm

Equation of state

../../_images/fig_bm7700.png

(a) Equation of state

Harmonic properties

../../_images/fig_bandos_pr15962.png

(a) Phonon dispersion with participation ratio and DOS

../../_images/fig_thermo15961.png

(b) Thermodynamic properties

Grüneisen parameters

../../_images/fig_gru_all6923.png

(a) Grüneisen parameters

../../_images/fig_gruneisen6923.png

(b) Phonon dispersion with Grüneisen parameters

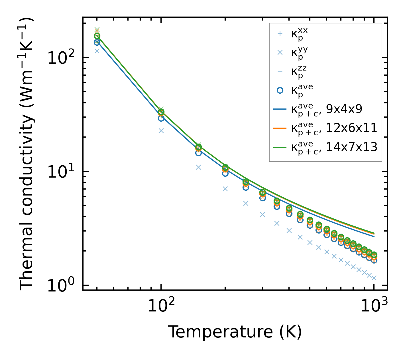
Thermal conductivity

3-phonon (LASSO) — q-mesh: 14x7x13, supercell: 2x1x2

../../_images/fig_kappa13035.png

(a) Temperature-dependent lattice thermal conductivity

../../_images/fig_kappa_vs_grain_size7004.png

(b) Peierls lattice thermal conductivity w.r.t grain size

Phonon lifetime and scattering rates

../../_images/fig_lifetime6857.png

(a) Phonon lifetime due to phonon-phonon scattering

../../_images/fig_scat_rates6856.png

(b) Phonon scattering rates

Cumulative and spectral thermal conductivity

../../_images/fig_cumu_frequency6857.png

(a) Spectral and cumulative thermal conductivity w.r.t frequency

../../_images/fig_cumu_mfp6856.png

(b) Spectral and cumulative thermal conductivity w.r.t MFP

Force constants

../../_images/fig_fc215557.png

(a) Force constants w.r.t atomic distance

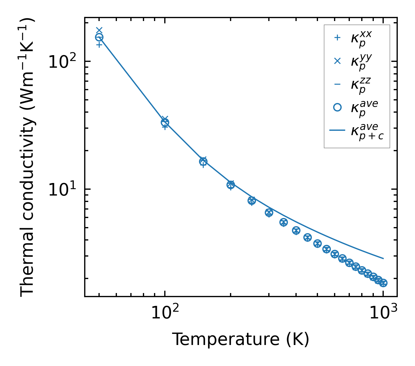
Summary

../../_images/fig_kappa13036.png

(a) Temperature-dependent lattice thermal conductivity

../../_images/fig_times26286.png

(b) Computation time