mp-1190500/Na2TeSe3/anharm

Harmonic properties

../../_images/fig_bandos_pr15992.png

(a) Phonon dispersion with participation ratio and DOS

../../_images/fig_thermo15991.png

(b) Thermodynamic properties

Grüneisen parameters

../../_images/fig_gru_all6937.png

(a) Grüneisen parameters

../../_images/fig_gruneisen6937.png

(b) Phonon dispersion with Grüneisen parameters

Thermal conductivity

3-phonon (LASSO) — q-mesh: 12x5x8, supercell: 3x1x2

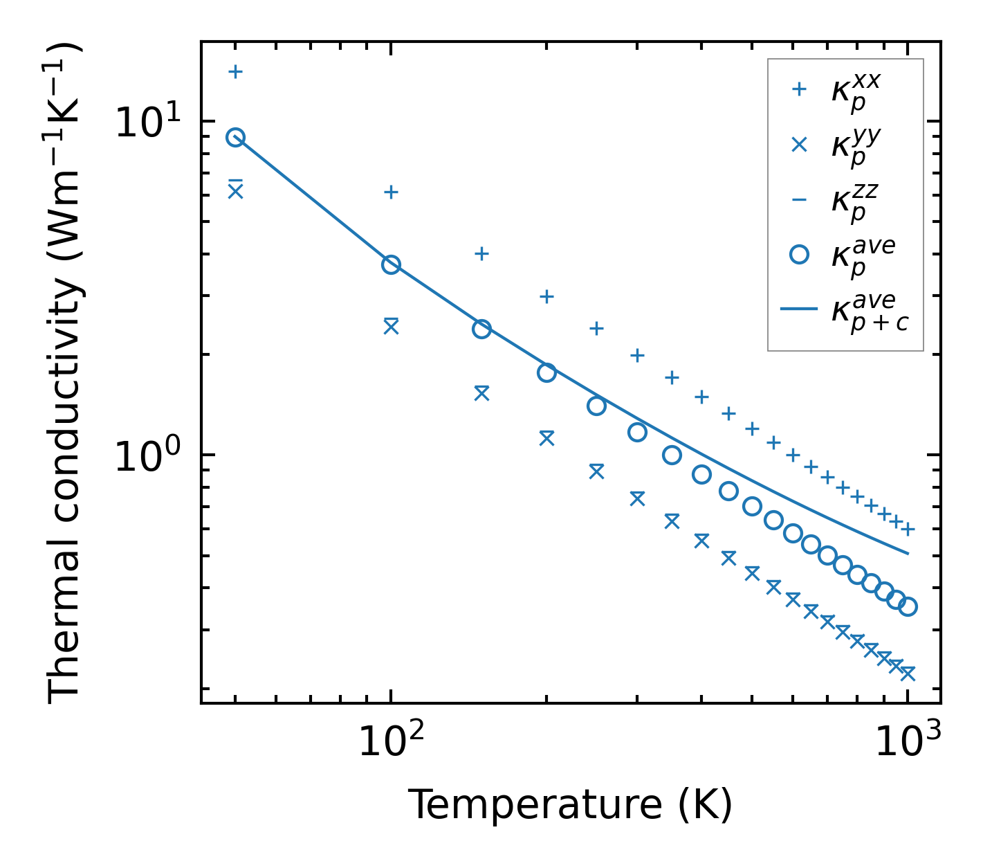
../../_images/fig_kappa13062.png

(a) Temperature-dependent lattice thermal conductivity

../../_images/fig_kappa_vs_grain_size7018.png

(b) Peierls lattice thermal conductivity w.r.t grain size

Phonon lifetime and scattering rates

../../_images/fig_lifetime6871.png

(a) Phonon lifetime due to phonon-phonon scattering

../../_images/fig_scat_rates6870.png

(b) Phonon scattering rates

Cumulative and spectral thermal conductivity

../../_images/fig_cumu_frequency6871.png

(a) Spectral and cumulative thermal conductivity w.r.t frequency

../../_images/fig_cumu_mfp6870.png

(b) Spectral and cumulative thermal conductivity w.r.t MFP

Force constants

../../_images/fig_fc215587.png

(a) Force constants w.r.t atomic distance

Summary

../../_images/fig_kappa13063.png

(a) Temperature-dependent lattice thermal conductivity

../../_images/fig_times26332.png

(b) Computation time