mp-1190721/Nd3AlFeS7/harm

Harmonic properties

../../_images/fig_bandos_pr16014.png

(a) Phonon dispersion with participation ratio and DOS

../../_images/fig_bandos20431.png

(b) Phonon dispersion and DOS

../../_images/fig_thermo16013.png

(c) Thermodynamic properties

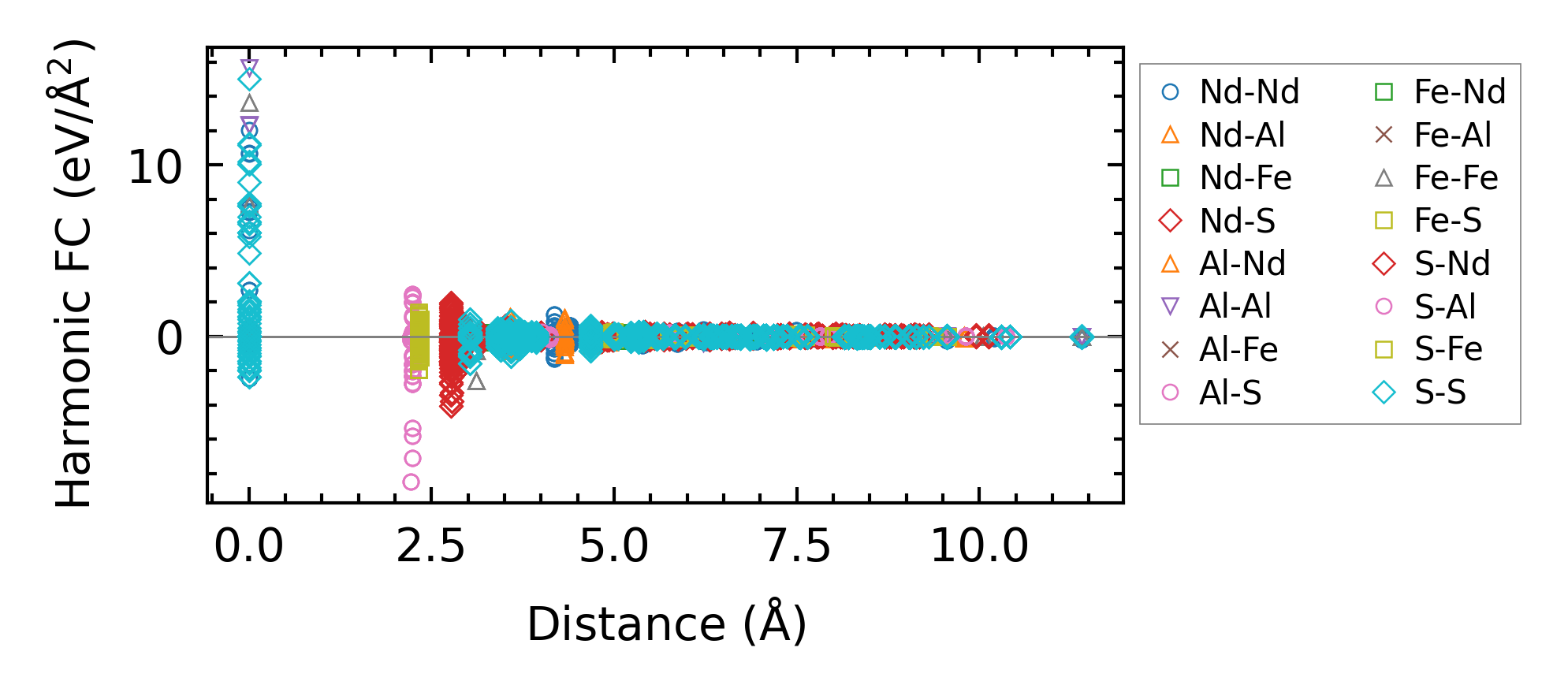
Force constants

../../_images/fig_fc215609.png

(a) Force constants w.r.t atomic distance

Summary

../../_images/fig_times26365.png

(a) Computation time