mp-1190623/Ba2ZnS3/anharm

Harmonic properties

../../_images/fig_bandos_pr16008.png

(a) Phonon dispersion with participation ratio and DOS

../../_images/fig_thermo16007.png

(b) Thermodynamic properties

Grüneisen parameters

../../_images/fig_gru_all6944.png

(a) Grüneisen parameters

../../_images/fig_gruneisen6944.png

(b) Phonon dispersion with Grüneisen parameters

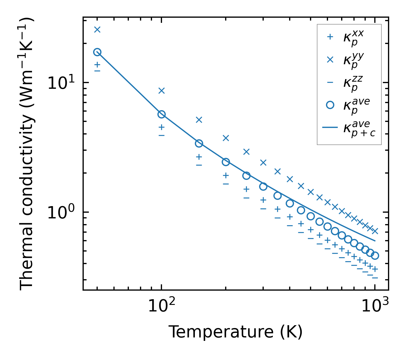
Thermal conductivity

3-phonon (LASSO) — q-mesh: 8x17x4, supercell: 2x3x1

../../_images/fig_kappa13074.png

(a) Temperature-dependent lattice thermal conductivity

../../_images/fig_kappa_vs_grain_size7025.png

(b) Peierls lattice thermal conductivity w.r.t grain size

Phonon lifetime and scattering rates

../../_images/fig_lifetime6878.png

(a) Phonon lifetime due to phonon-phonon scattering

../../_images/fig_scat_rates6877.png

(b) Phonon scattering rates

Cumulative and spectral thermal conductivity

../../_images/fig_cumu_frequency6878.png

(a) Spectral and cumulative thermal conductivity w.r.t frequency

../../_images/fig_cumu_mfp6877.png

(b) Spectral and cumulative thermal conductivity w.r.t MFP

Force constants

../../_images/fig_fc215603.png

(a) Force constants w.r.t atomic distance

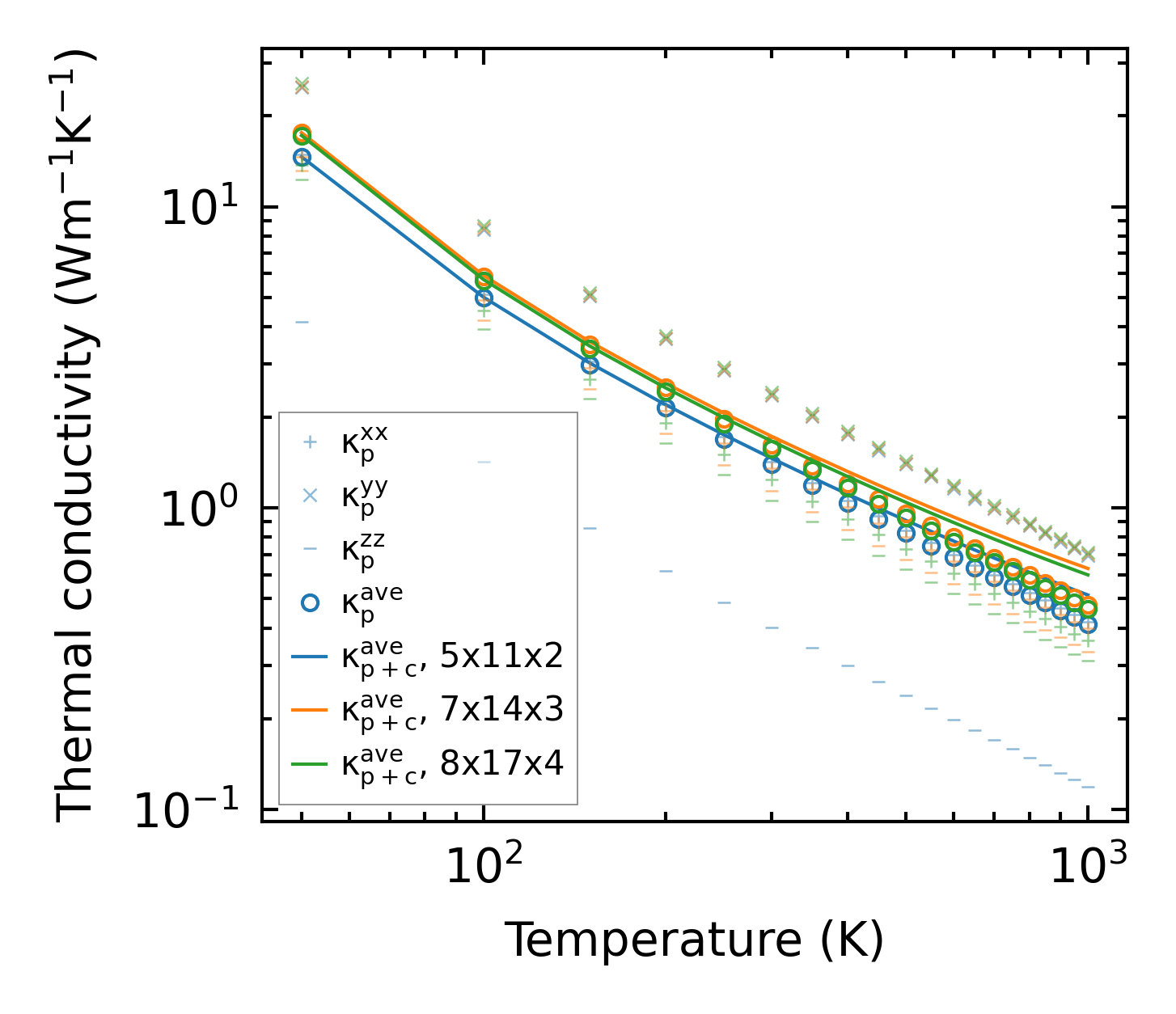
Summary

../../_images/fig_kappa13075.png

(a) Temperature-dependent lattice thermal conductivity

../../_images/fig_times26357.png

(b) Computation time