mp-1190822/BaSi9Rh2/anharm

Harmonic properties

../../_images/fig_bandos_pr16021.png

(a) Phonon dispersion with participation ratio and DOS

../../_images/fig_thermo16020.png

(b) Thermodynamic properties

Grüneisen parameters

../../_images/fig_gru_all6948.png

(a) Grüneisen parameters

../../_images/fig_gruneisen6948.png

(b) Phonon dispersion with Grüneisen parameters

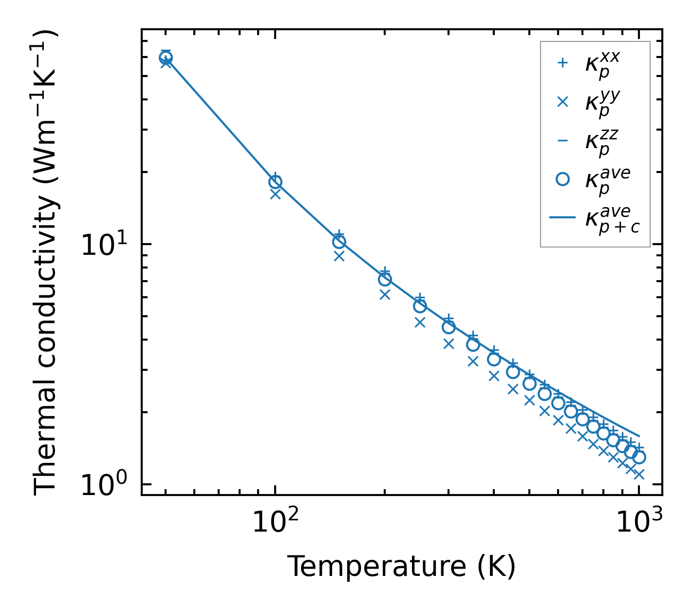
Thermal conductivity

3-phonon (LASSO) — q-mesh: 7x7x14, supercell: 2x1x1

../../_images/fig_kappa13082.png

(a) Temperature-dependent lattice thermal conductivity

../../_images/fig_kappa_vs_grain_size7029.png

(b) Peierls lattice thermal conductivity w.r.t grain size

Phonon lifetime and scattering rates

../../_images/fig_lifetime6882.png

(a) Phonon lifetime due to phonon-phonon scattering

../../_images/fig_scat_rates6881.png

(b) Phonon scattering rates

Cumulative and spectral thermal conductivity

../../_images/fig_cumu_frequency6882.png

(a) Spectral and cumulative thermal conductivity w.r.t frequency

../../_images/fig_cumu_mfp6881.png

(b) Spectral and cumulative thermal conductivity w.r.t MFP

Force constants

../../_images/fig_fc215616.png

(a) Force constants w.r.t atomic distance

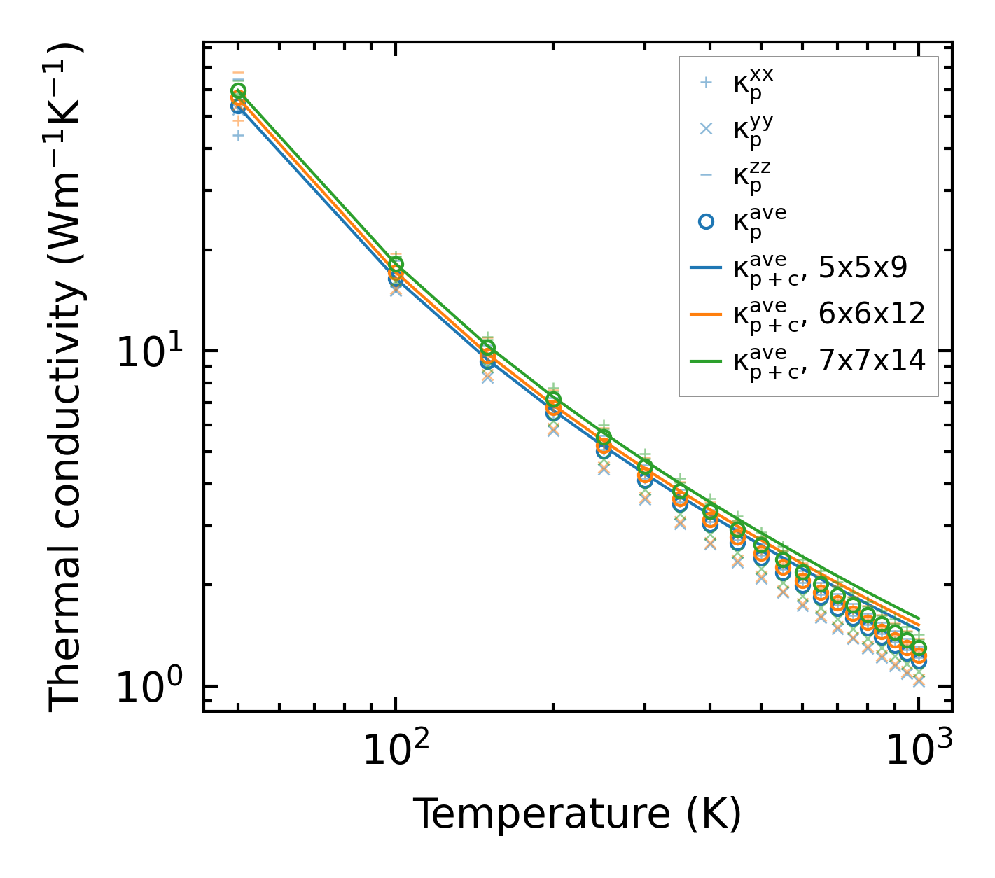
Summary

../../_images/fig_kappa13083.png

(a) Temperature-dependent lattice thermal conductivity

../../_images/fig_times26374.png

(b) Computation time