mp-1190421/CsDy2Ag3Te5/anharm

Harmonic properties

../../_images/fig_bandos_pr15984.png

(a) Phonon dispersion with participation ratio and DOS

../../_images/fig_thermo15983.png

(b) Thermodynamic properties

Grüneisen parameters

../../_images/fig_gru_all6933.png

(a) Grüneisen parameters

../../_images/fig_gruneisen6933.png

(b) Phonon dispersion with Grüneisen parameters

Thermal conductivity

3-phonon (LASSO) — q-mesh: 10x10x4, supercell: 3x1x1

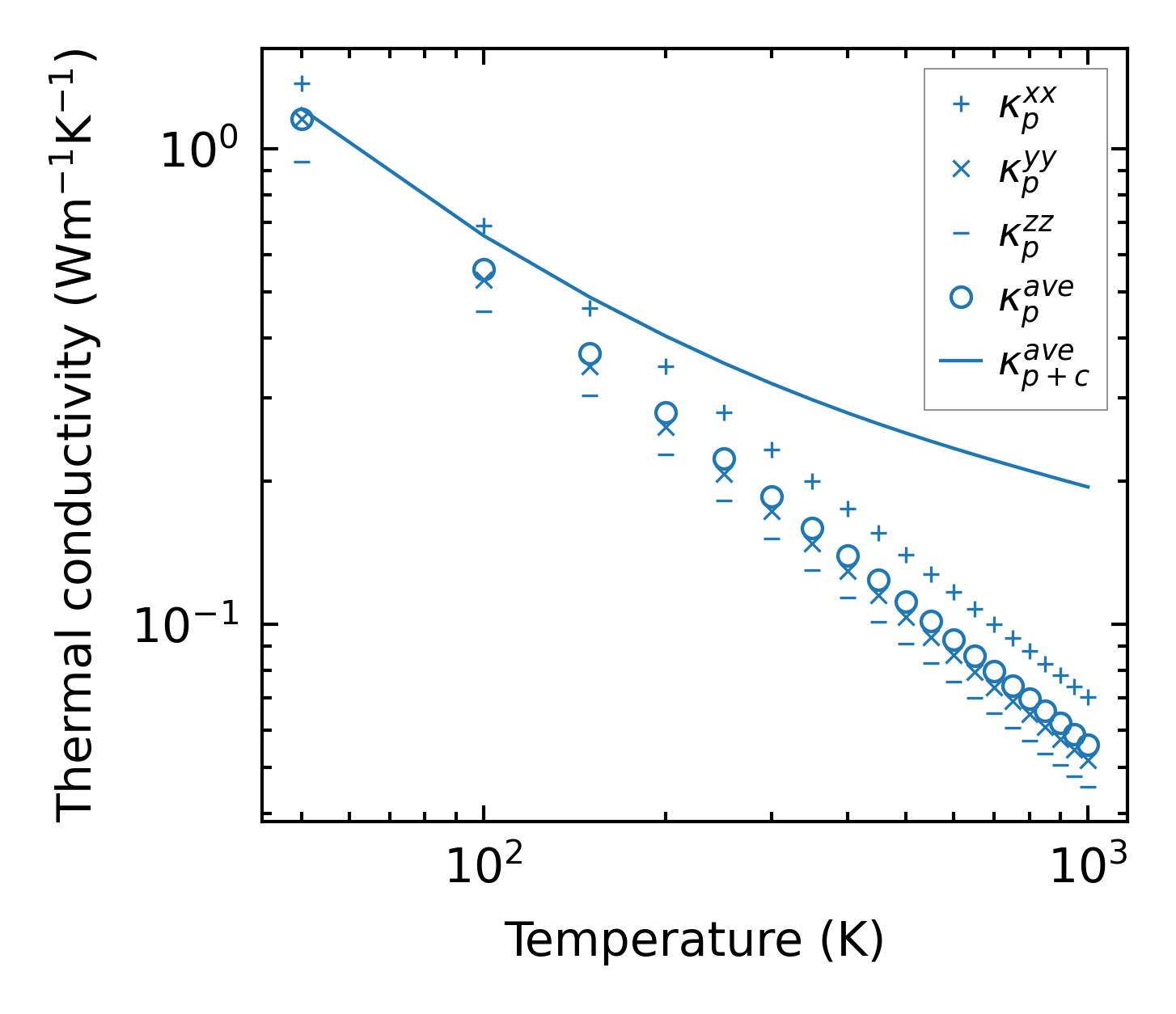
../../_images/fig_kappa13055.png

(a) Temperature-dependent lattice thermal conductivity

../../_images/fig_kappa_vs_grain_size7014.png

(b) Peierls lattice thermal conductivity w.r.t grain size

Phonon lifetime and scattering rates

../../_images/fig_lifetime6867.png

(a) Phonon lifetime due to phonon-phonon scattering

../../_images/fig_scat_rates6866.png

(b) Phonon scattering rates

Cumulative and spectral thermal conductivity

../../_images/fig_cumu_frequency6867.png

(a) Spectral and cumulative thermal conductivity w.r.t frequency

../../_images/fig_cumu_mfp6866.png

(b) Spectral and cumulative thermal conductivity w.r.t MFP

Force constants

../../_images/fig_fc215579.png

(a) Force constants w.r.t atomic distance

Summary

../../_images/fig_kappa13056.png

(a) Temperature-dependent lattice thermal conductivity

../../_images/fig_times26317.png

(b) Computation time