mp-1190524/TlInHgS3/anharm

Harmonic properties

../../_images/fig_bandos_pr15995.png

(a) Phonon dispersion with participation ratio and DOS

../../_images/fig_bandos20407.png

(b) Phonon dispersion and DOS

../../_images/fig_thermo15994.png

(c) Thermodynamic properties

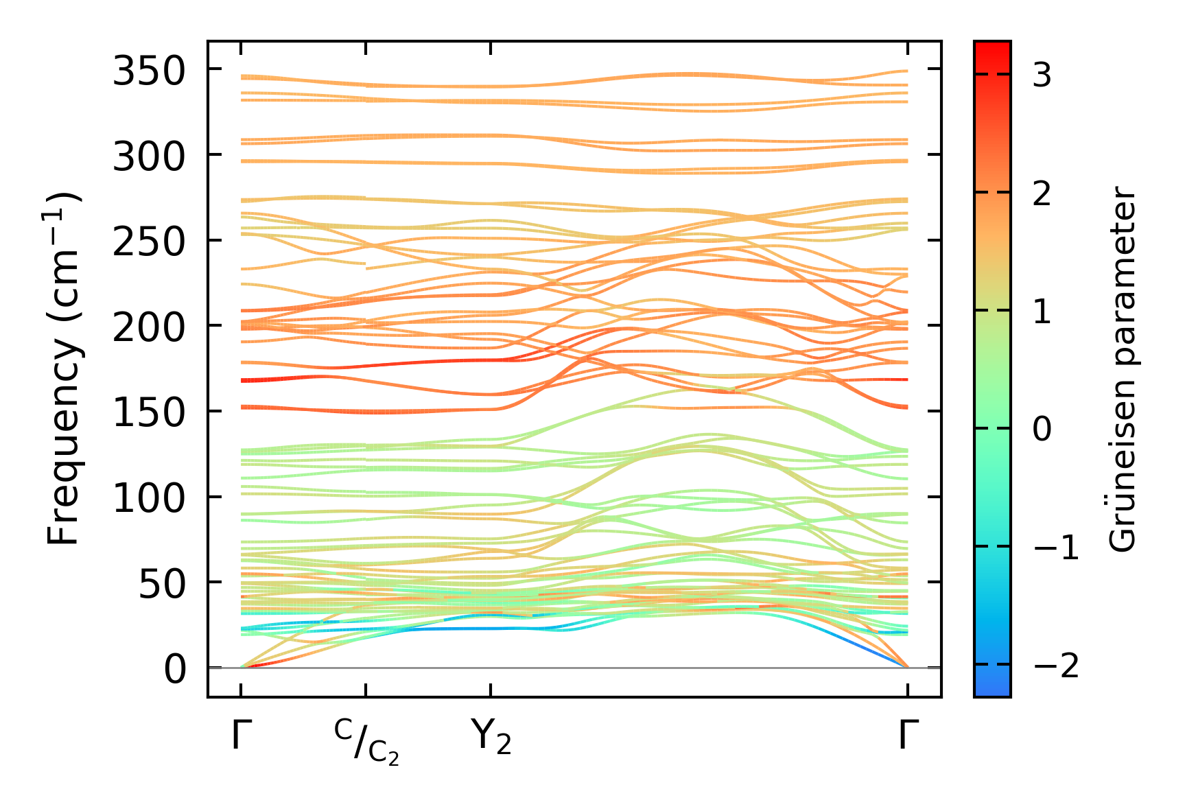
Grüneisen parameters

../../_images/fig_gru_all6939.png

(a) Grüneisen parameters

../../_images/fig_gruneisen6939.png

(b) Phonon dispersion with Grüneisen parameters

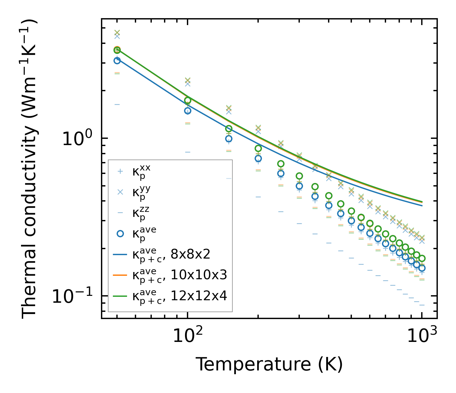
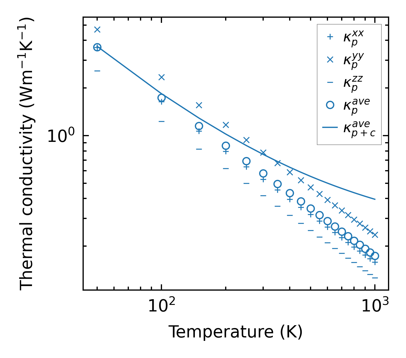
Thermal conductivity

3-phonon (LASSO) — q-mesh: 12x12x4, supercell: 1x3x1

../../_images/fig_kappa13066.png

(a) Temperature-dependent lattice thermal conductivity

../../_images/fig_kappa_vs_grain_size7020.png

(b) Peierls lattice thermal conductivity w.r.t grain size

Phonon lifetime and scattering rates

../../_images/fig_lifetime6873.png

(a) Phonon lifetime due to phonon-phonon scattering

../../_images/fig_scat_rates6872.png

(b) Phonon scattering rates

Cumulative and spectral thermal conductivity

../../_images/fig_cumu_frequency6873.png

(a) Spectral and cumulative thermal conductivity w.r.t frequency

../../_images/fig_cumu_mfp6872.png

(b) Spectral and cumulative thermal conductivity w.r.t MFP

Force constants

../../_images/fig_fc215590.png

(a) Force constants w.r.t atomic distance

Summary

../../_images/fig_kappa13067.png

(a) Temperature-dependent lattice thermal conductivity

../../_images/fig_times26336.png

(b) Computation time