mp-1190528/Ba2ZnSe3/anharm

Harmonic properties

../../_images/fig_bandos_pr15996.png

(a) Phonon dispersion with participation ratio and DOS

../../_images/fig_thermo15995.png

(b) Thermodynamic properties

Grüneisen parameters

../../_images/fig_gru_all6940.png

(a) Grüneisen parameters

../../_images/fig_gruneisen6940.png

(b) Phonon dispersion with Grüneisen parameters

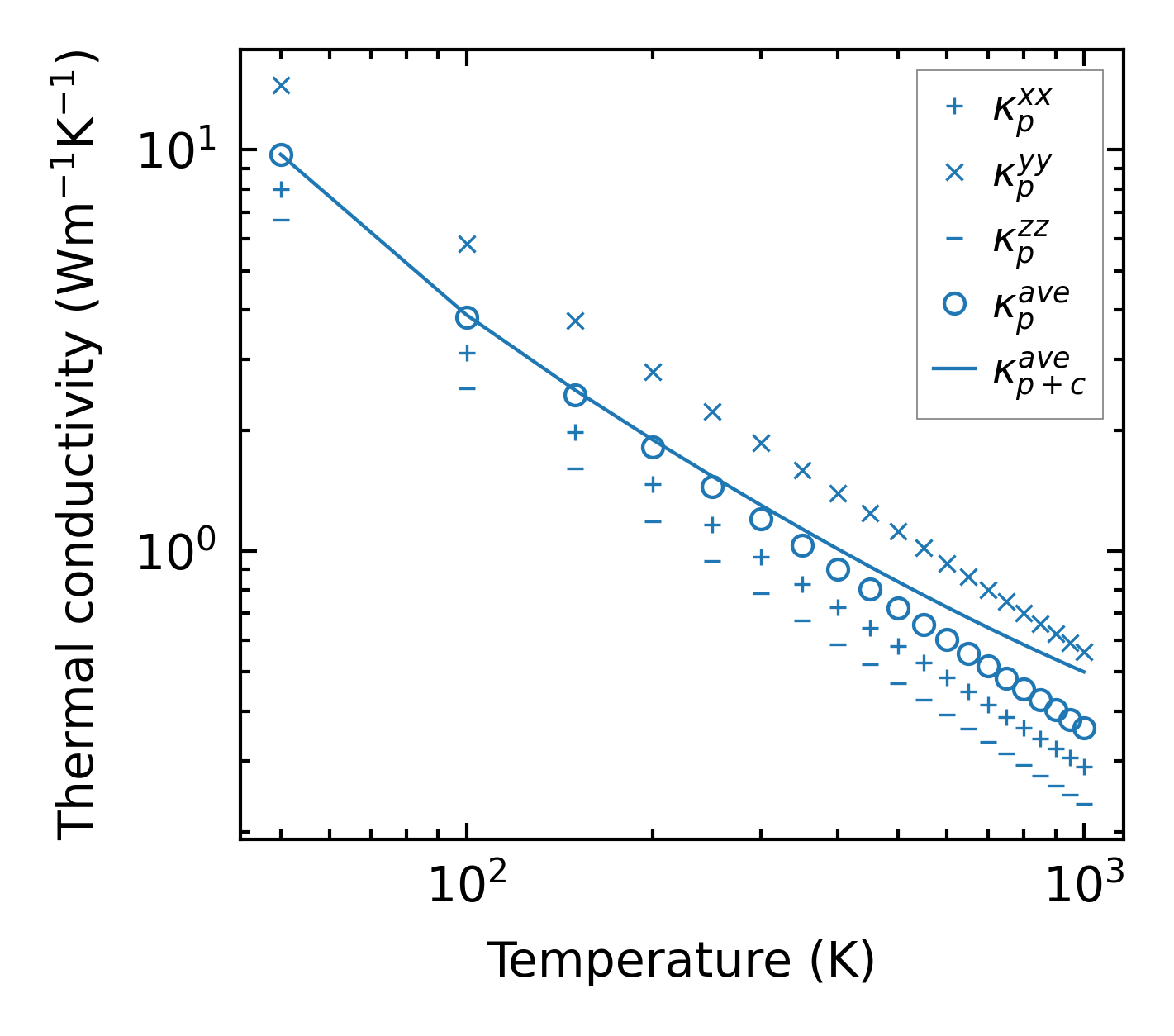
Thermal conductivity

3-phonon (LASSO) — q-mesh: 7x16x4, supercell: 2x3x1

../../_images/fig_kappa13068.png

(a) Temperature-dependent lattice thermal conductivity

../../_images/fig_kappa_vs_grain_size7021.png

(b) Peierls lattice thermal conductivity w.r.t grain size

Phonon lifetime and scattering rates

../../_images/fig_lifetime6874.png

(a) Phonon lifetime due to phonon-phonon scattering

../../_images/fig_scat_rates6873.png

(b) Phonon scattering rates

Cumulative and spectral thermal conductivity

../../_images/fig_cumu_frequency6874.png

(a) Spectral and cumulative thermal conductivity w.r.t frequency

../../_images/fig_cumu_mfp6873.png

(b) Spectral and cumulative thermal conductivity w.r.t MFP

Force constants

../../_images/fig_fc215591.png

(a) Force constants w.r.t atomic distance

Summary

../../_images/fig_kappa13069.png

(a) Temperature-dependent lattice thermal conductivity

../../_images/fig_times26338.png

(b) Computation time