mp-1190252/CsEr2Ag3Te5/anharm

Harmonic properties

../../_images/fig_bandos_pr15969.png

(a) Phonon dispersion with participation ratio and DOS

../../_images/fig_thermo15968.png

(b) Thermodynamic properties

Grüneisen parameters

../../_images/fig_gru_all6928.png

(a) Grüneisen parameters

../../_images/fig_gruneisen6928.png

(b) Phonon dispersion with Grüneisen parameters

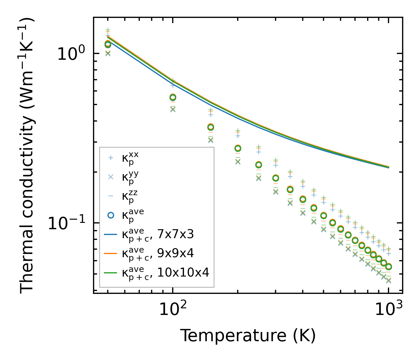
Thermal conductivity

3-phonon (LASSO) — q-mesh: 10x10x4, supercell: 3x1x1

../../_images/fig_kappa13045.png

(a) Temperature-dependent lattice thermal conductivity

../../_images/fig_kappa_vs_grain_size7009.png

(b) Peierls lattice thermal conductivity w.r.t grain size

Phonon lifetime and scattering rates

../../_images/fig_lifetime6862.png

(a) Phonon lifetime due to phonon-phonon scattering

../../_images/fig_scat_rates6861.png

(b) Phonon scattering rates

Cumulative and spectral thermal conductivity

../../_images/fig_cumu_frequency6862.png

(a) Spectral and cumulative thermal conductivity w.r.t frequency

../../_images/fig_cumu_mfp6861.png

(b) Spectral and cumulative thermal conductivity w.r.t MFP

Force constants

../../_images/fig_fc215564.png

(a) Force constants w.r.t atomic distance

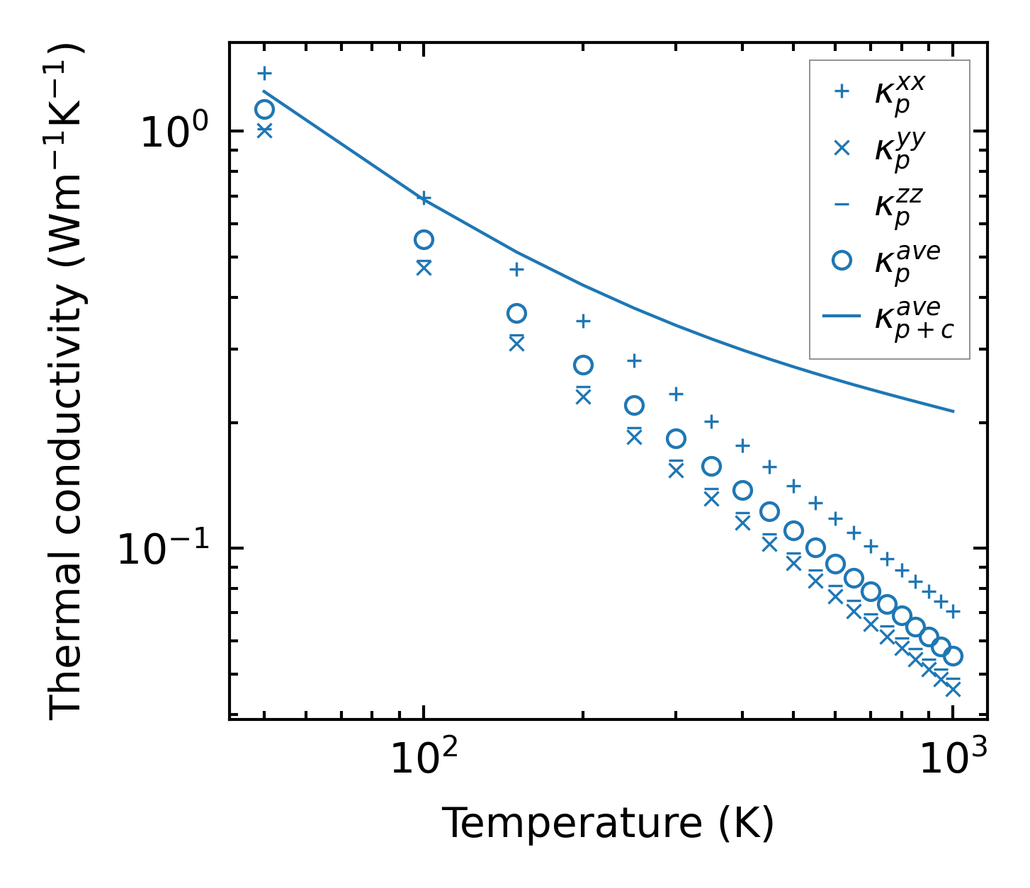
Summary

../../_images/fig_kappa13046.png

(a) Temperature-dependent lattice thermal conductivity

../../_images/fig_times26294.png

(b) Computation time