mp-1190516/CsSm2Ag3Te5/anharm

Harmonic properties

../../_images/fig_bandos_pr15994.png

(a) Phonon dispersion with participation ratio and DOS

../../_images/fig_thermo15993.png

(b) Thermodynamic properties

Grüneisen parameters

../../_images/fig_gru_all6938.png

(a) Grüneisen parameters

../../_images/fig_gruneisen6938.png

(b) Phonon dispersion with Grüneisen parameters

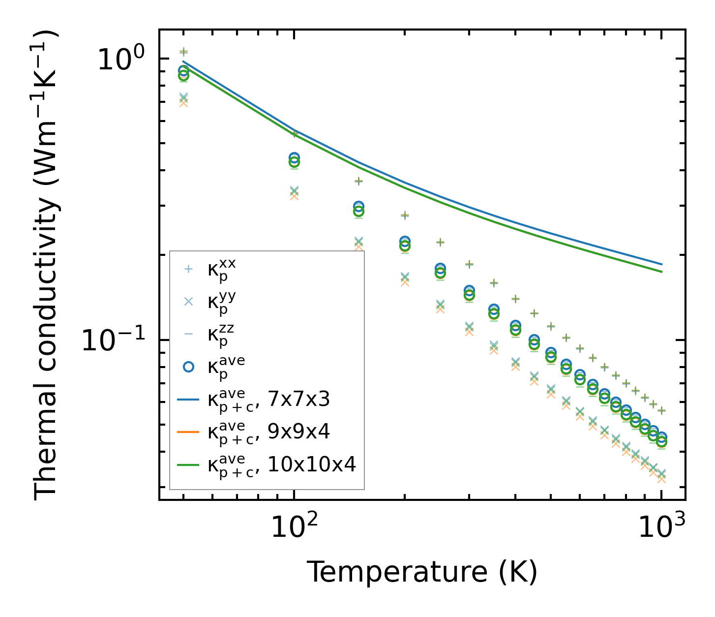
Thermal conductivity

3-phonon (LASSO) — q-mesh: 10x10x4, supercell: 3x1x1

../../_images/fig_kappa13064.png

(a) Temperature-dependent lattice thermal conductivity

../../_images/fig_kappa_vs_grain_size7019.png

(b) Peierls lattice thermal conductivity w.r.t grain size

Phonon lifetime and scattering rates

../../_images/fig_lifetime6872.png

(a) Phonon lifetime due to phonon-phonon scattering

../../_images/fig_scat_rates6871.png

(b) Phonon scattering rates

Cumulative and spectral thermal conductivity

../../_images/fig_cumu_frequency6872.png

(a) Spectral and cumulative thermal conductivity w.r.t frequency

../../_images/fig_cumu_mfp6871.png

(b) Spectral and cumulative thermal conductivity w.r.t MFP

Force constants

../../_images/fig_fc215589.png

(a) Force constants w.r.t atomic distance

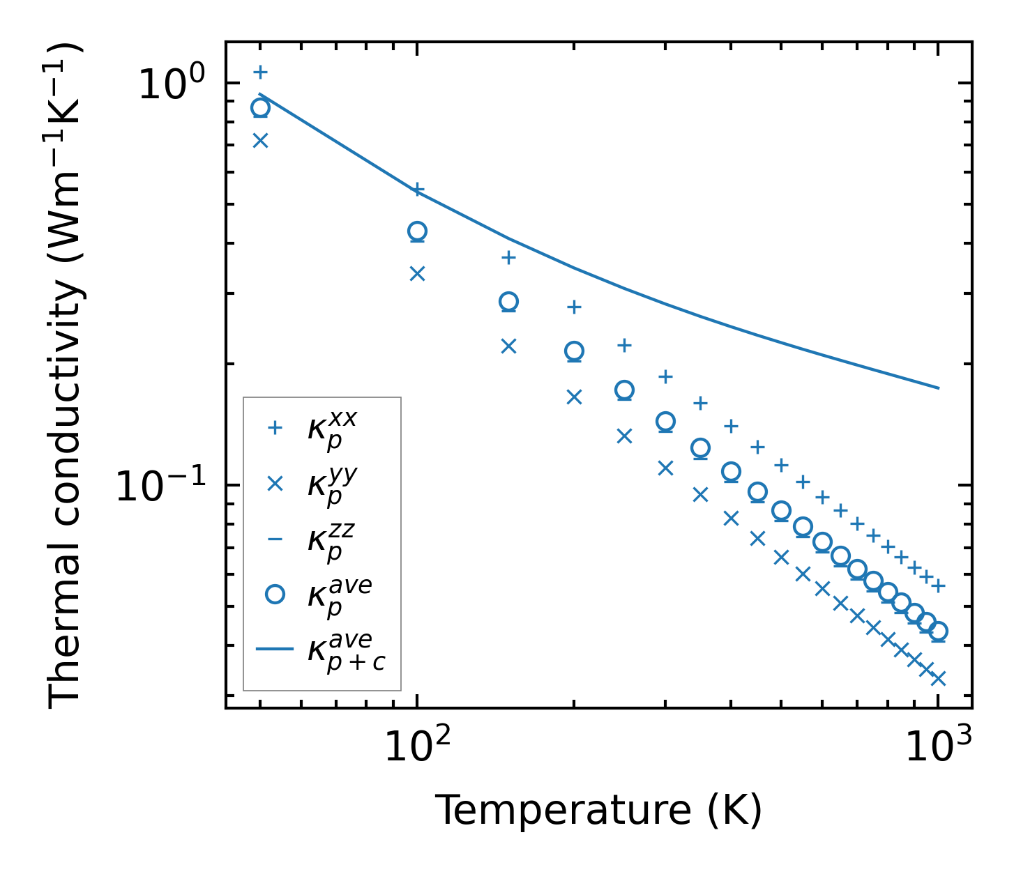
Summary

../../_images/fig_kappa13065.png

(a) Temperature-dependent lattice thermal conductivity

../../_images/fig_times26334.png

(b) Computation time