mp-1190579-2/Cs2Cu2Sb2S5/anharm

Equation of state

../../_images/fig_bm7702.png

(a) Equation of state

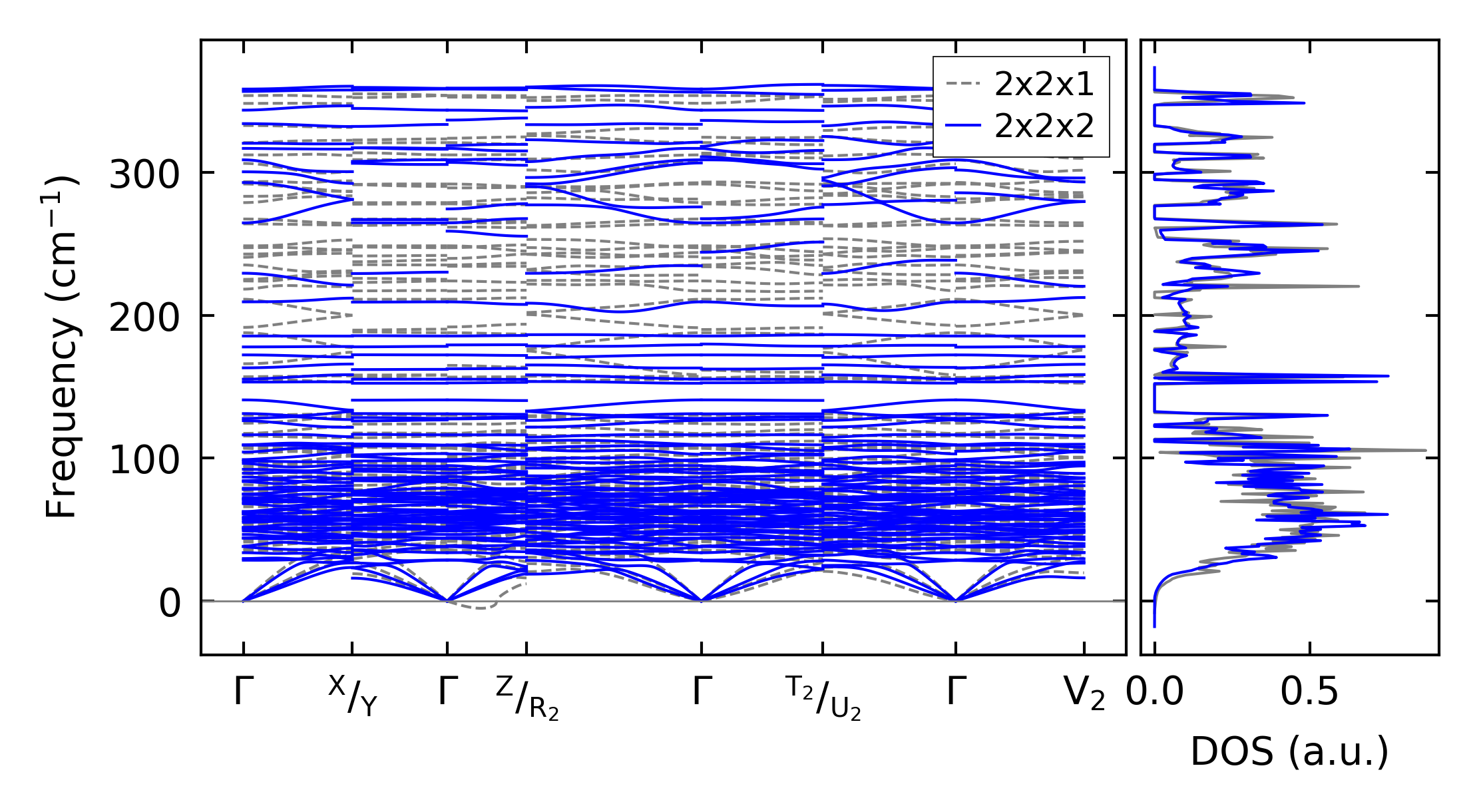
Harmonic properties

../../_images/fig_bandos_pr16005.png

(a) Phonon dispersion with participation ratio and DOS

../../_images/fig_bandos20420.png

(b) Phonon dispersion and DOS

../../_images/fig_thermo16004.png

(c) Thermodynamic properties

Grüneisen parameters

../../_images/fig_gru_all6942.png

(a) Grüneisen parameters

../../_images/fig_gruneisen6942.png

(b) Phonon dispersion with Grüneisen parameters

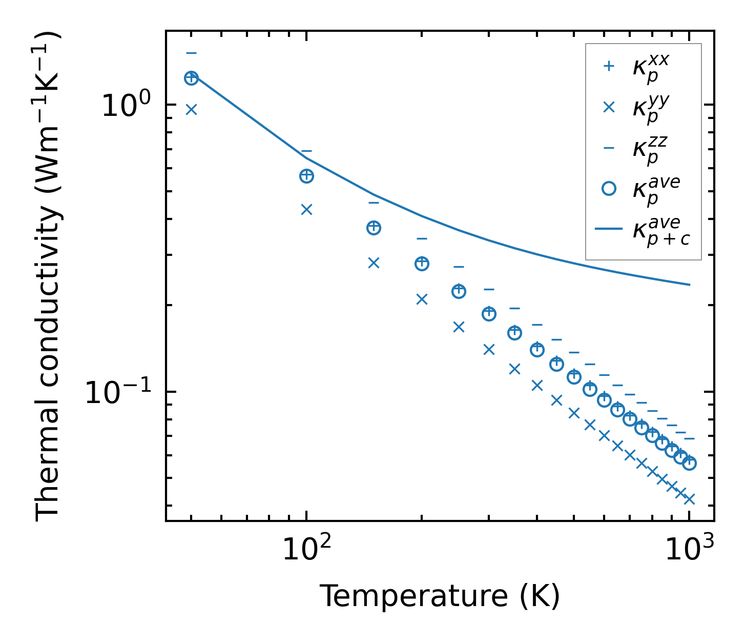
Thermal conductivity

3-phonon (LASSO), supercell 2x2x2 — q-mesh: 9x8x7, supercell: 2x2x2

../../_images/fig_kappa13072.png

(a) Temperature-dependent lattice thermal conductivity

../../_images/fig_kappa_vs_grain_size7023.png

(b) Peierls lattice thermal conductivity w.r.t grain size

Phonon lifetime and scattering rates

../../_images/fig_lifetime6876.png

(a) Phonon lifetime due to phonon-phonon scattering

../../_images/fig_scat_rates6875.png

(b) Phonon scattering rates

Cumulative and spectral thermal conductivity

../../_images/fig_cumu_frequency6876.png

(a) Spectral and cumulative thermal conductivity w.r.t frequency

../../_images/fig_cumu_mfp6875.png

(b) Spectral and cumulative thermal conductivity w.r.t MFP

Force constants

../../_images/fig_fc215600.png

(a) Force constants w.r.t atomic distance

Summary

../../_images/fig_times26351.png

(a) Computation time