mp-1190020-2/AlBi2Se2BrCl4/anharm

Equation of state

../../_images/fig_bm7699.png

(a) Equation of state

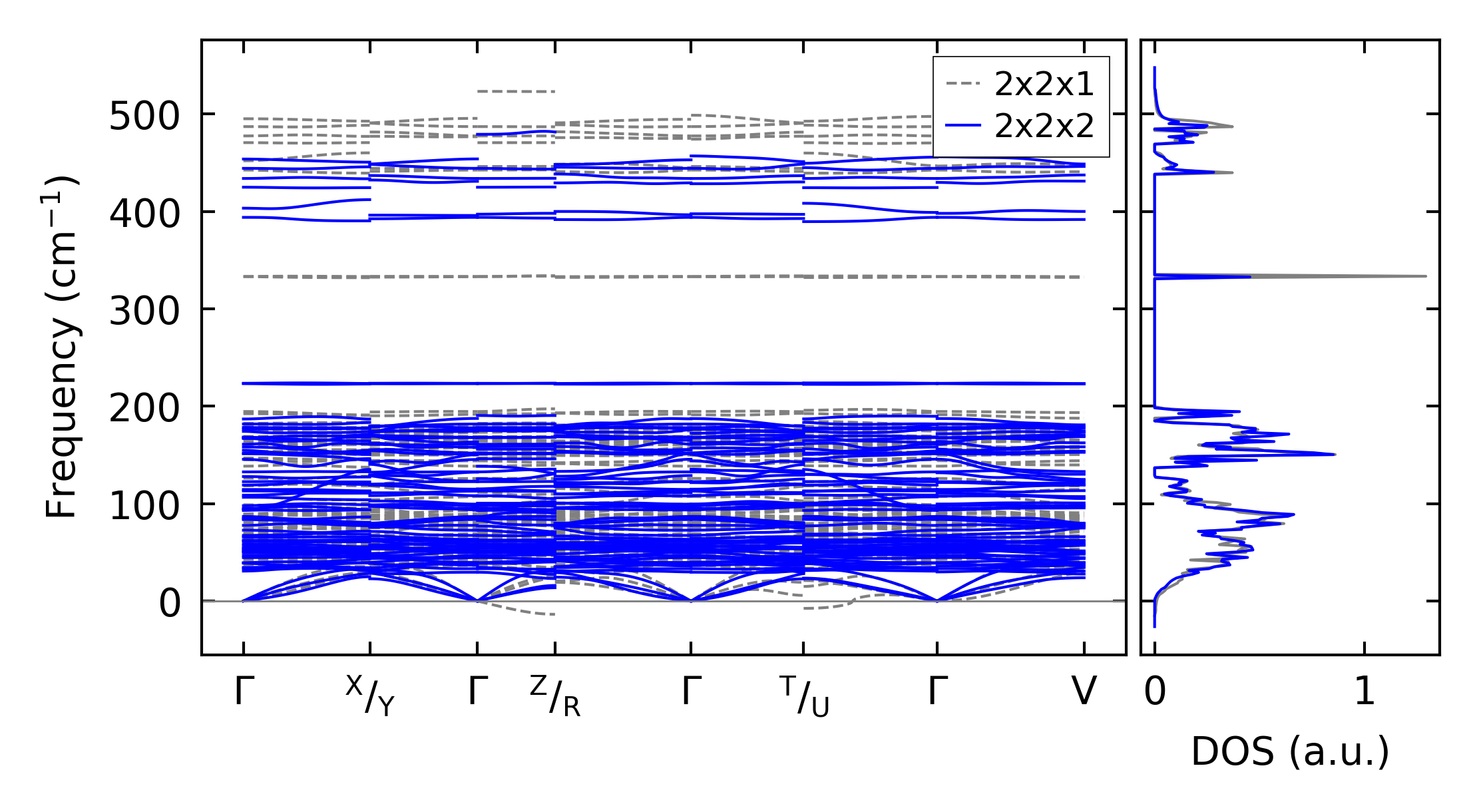
Harmonic properties

../../_images/fig_bandos_pr15951.png

(a) Phonon dispersion with participation ratio and DOS

../../_images/fig_bandos20361.png

(b) Phonon dispersion and DOS

../../_images/fig_thermo15950.png

(c) Thermodynamic properties

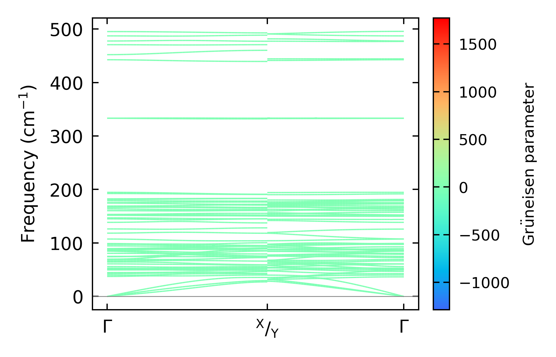
Grüneisen parameters

../../_images/fig_gru_all6916.png

(a) Grüneisen parameters

../../_images/fig_gruneisen6916.png

(b) Phonon dispersion with Grüneisen parameters

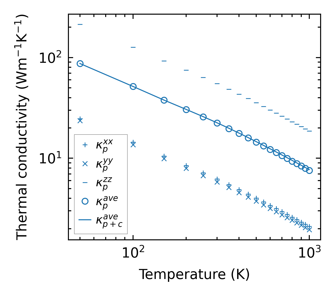
Thermal conductivity

3-phonon (LASSO), supercell 2x2x2 — q-mesh: 11x9x6, supercell: 2x2x2

../../_images/fig_kappa13022.png

(a) Temperature-dependent lattice thermal conductivity

../../_images/fig_kappa_vs_grain_size6997.png

(b) Peierls lattice thermal conductivity w.r.t grain size

Phonon lifetime and scattering rates

../../_images/fig_lifetime6850.png

(a) Phonon lifetime due to phonon-phonon scattering

../../_images/fig_scat_rates6849.png

(b) Phonon scattering rates

Cumulative and spectral thermal conductivity

../../_images/fig_cumu_frequency6850.png

(a) Spectral and cumulative thermal conductivity w.r.t frequency

../../_images/fig_cumu_mfp6849.png

(b) Spectral and cumulative thermal conductivity w.r.t MFP

Force constants

../../_images/fig_fc215546.png

(a) Force constants w.r.t atomic distance

Summary

../../_images/fig_times26268.png

(a) Computation time