mp-1190733/Cs4PbCl6/anharm

Harmonic properties

../../_images/fig_bandos_pr16015.png

(a) Phonon dispersion with participation ratio and DOS

../../_images/fig_thermo16014.png

(b) Thermodynamic properties

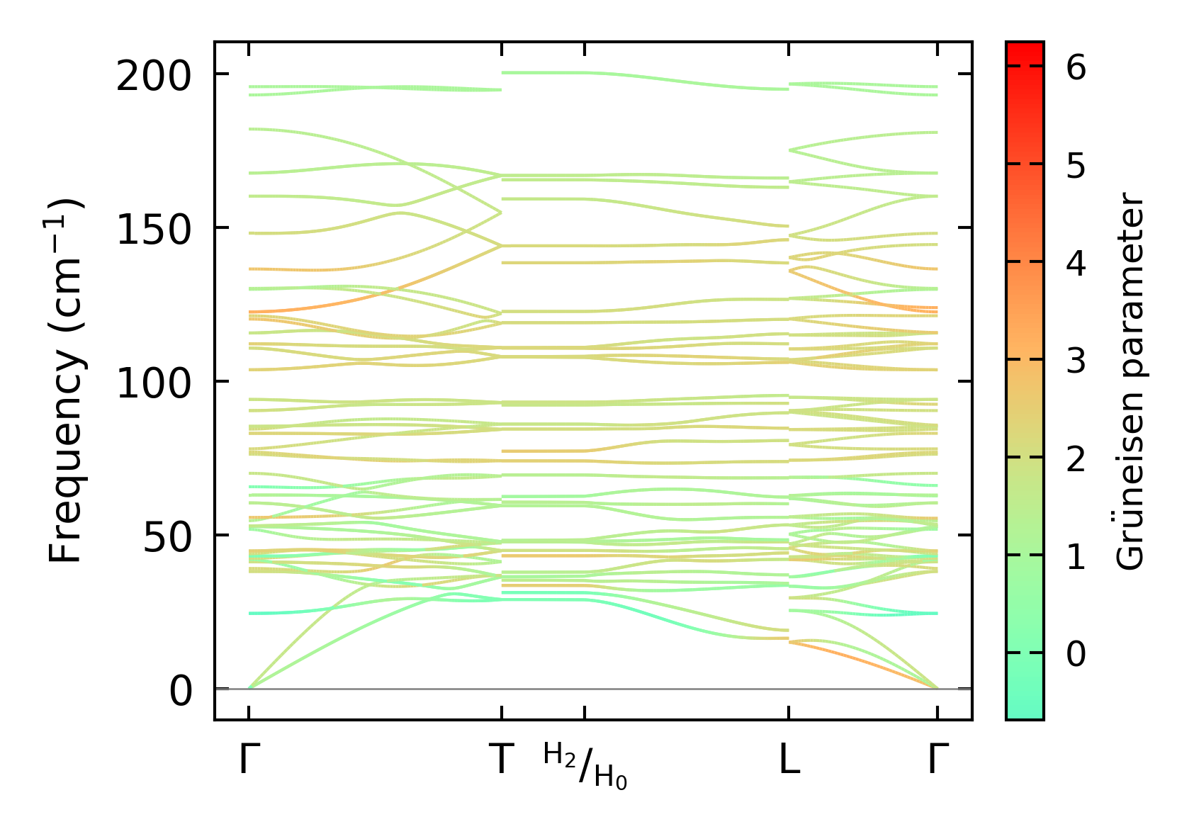
Grüneisen parameters

../../_images/fig_gru_all6947.png

(a) Grüneisen parameters

../../_images/fig_gruneisen6947.png

(b) Phonon dispersion with Grüneisen parameters

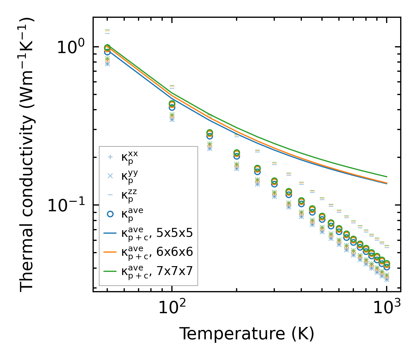
Thermal conductivity

3-phonon (LASSO) — q-mesh: 7x7x7, supercell: 1x1x1

../../_images/fig_kappa13080.png

(a) Temperature-dependent lattice thermal conductivity

../../_images/fig_kappa_vs_grain_size7028.png

(b) Peierls lattice thermal conductivity w.r.t grain size

Phonon lifetime and scattering rates

../../_images/fig_lifetime6881.png

(a) Phonon lifetime due to phonon-phonon scattering

../../_images/fig_scat_rates6880.png

(b) Phonon scattering rates

Cumulative and spectral thermal conductivity

../../_images/fig_cumu_frequency6881.png

(a) Spectral and cumulative thermal conductivity w.r.t frequency

../../_images/fig_cumu_mfp6880.png

(b) Spectral and cumulative thermal conductivity w.r.t MFP

Force constants

../../_images/fig_fc215610.png

(a) Force constants w.r.t atomic distance

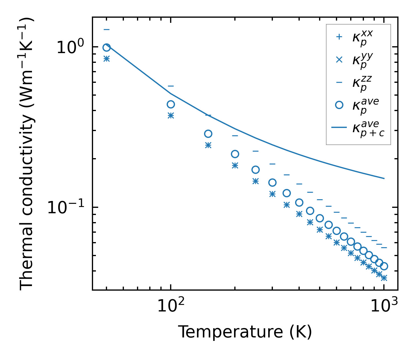
Summary

../../_images/fig_kappa13081.png

(a) Temperature-dependent lattice thermal conductivity

../../_images/fig_times26367.png

(b) Computation time