mp-1190974/SiAg2S3/anharm

Harmonic properties

../../_images/fig_bandos_pr16039.png

(a) Phonon dispersion with participation ratio and DOS

../../_images/fig_thermo16038.png

(b) Thermodynamic properties

Grüneisen parameters

../../_images/fig_gru_all6957.png

(a) Grüneisen parameters

../../_images/fig_gruneisen6957.png

(b) Phonon dispersion with Grüneisen parameters

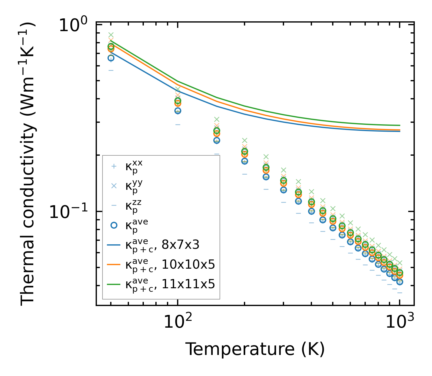
Thermal conductivity

3-phonon (LASSO) — q-mesh: 11x11x5, supercell: 2x2x1

../../_images/fig_kappa13095.png

(a) Temperature-dependent lattice thermal conductivity

../../_images/fig_kappa_vs_grain_size7038.png

(b) Peierls lattice thermal conductivity w.r.t grain size

Phonon lifetime and scattering rates

../../_images/fig_lifetime6891.png

(a) Phonon lifetime due to phonon-phonon scattering

../../_images/fig_scat_rates6890.png

(b) Phonon scattering rates

Cumulative and spectral thermal conductivity

../../_images/fig_cumu_frequency6891.png

(a) Spectral and cumulative thermal conductivity w.r.t frequency

../../_images/fig_cumu_mfp6890.png

(b) Spectral and cumulative thermal conductivity w.r.t MFP

Force constants

../../_images/fig_fc215634.png

(a) Force constants w.r.t atomic distance

Summary

../../_images/fig_kappa13096.png

(a) Temperature-dependent lattice thermal conductivity

../../_images/fig_times26396.png

(b) Computation time