mp-1190436-2/Bi4Pb7Se13/anharm

Equation of state

../../_images/fig_bm7701.png

(a) Equation of state

Harmonic properties

../../_images/fig_bandos_pr15985.png

(a) Phonon dispersion with participation ratio and DOS

../../_images/fig_bandos20396.png

(b) Phonon dispersion and DOS

../../_images/fig_thermo15984.png

(c) Thermodynamic properties

Grüneisen parameters

../../_images/fig_gru_all6934.png

(a) Grüneisen parameters

../../_images/fig_gruneisen6934.png

(b) Phonon dispersion with Grüneisen parameters

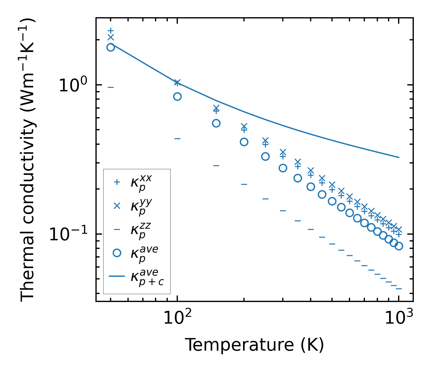
Thermal conductivity

3-phonon (LASSO), supercell 1x4x1 — q-mesh: 12x12x3, supercell: 1x4x1

../../_images/fig_kappa13057.png

(a) Temperature-dependent lattice thermal conductivity

../../_images/fig_kappa_vs_grain_size7015.png

(b) Peierls lattice thermal conductivity w.r.t grain size

Phonon lifetime and scattering rates

../../_images/fig_lifetime6868.png

(a) Phonon lifetime due to phonon-phonon scattering

../../_images/fig_scat_rates6867.png

(b) Phonon scattering rates

Cumulative and spectral thermal conductivity

../../_images/fig_cumu_frequency6868.png

(a) Spectral and cumulative thermal conductivity w.r.t frequency

../../_images/fig_cumu_mfp6867.png

(b) Spectral and cumulative thermal conductivity w.r.t MFP

Force constants

../../_images/fig_fc215580.png

(a) Force constants w.r.t atomic distance

Summary

../../_images/fig_times26321.png

(a) Computation time