mp-20944/Sr2PbO4/anharm

Harmonic properties

../../_images/fig_bandos_pr13516.png

(a) Phonon dispersion with participation ratio and DOS

../../_images/fig_thermo13516.png

(b) Thermodynamic properties

Grüneisen parameters

../../_images/fig_gru_all5713.png

(a) Grüneisen parameters

../../_images/fig_gruneisen5713.png

(b) Phonon dispersion with Grüneisen parameters

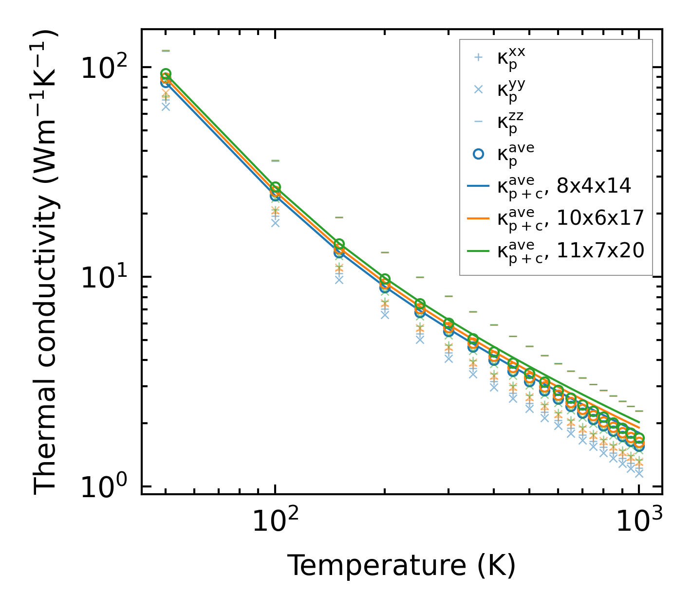
Thermal conductivity

3-phonon (LASSO) — q-mesh: 11x7x20, supercell: 2x1x3

../../_images/fig_kappa10739.png

(a) Temperature-dependent lattice thermal conductivity

../../_images/fig_kappa_vs_grain_size5781.png

(b) Peierls lattice thermal conductivity w.r.t grain size

Phonon lifetime and scattering rates

../../_images/fig_lifetime5658.png

(a) Phonon lifetime due to phonon-phonon scattering

../../_images/fig_scat_rates5657.png

(b) Phonon scattering rates

Cumulative and spectral thermal conductivity

../../_images/fig_cumu_frequency5658.png

(a) Spectral and cumulative thermal conductivity w.r.t frequency

../../_images/fig_cumu_mfp5657.png

(b) Spectral and cumulative thermal conductivity w.r.t MFP

Force constants

../../_images/fig_fc213151.png

(a) Force constants w.r.t atomic distance

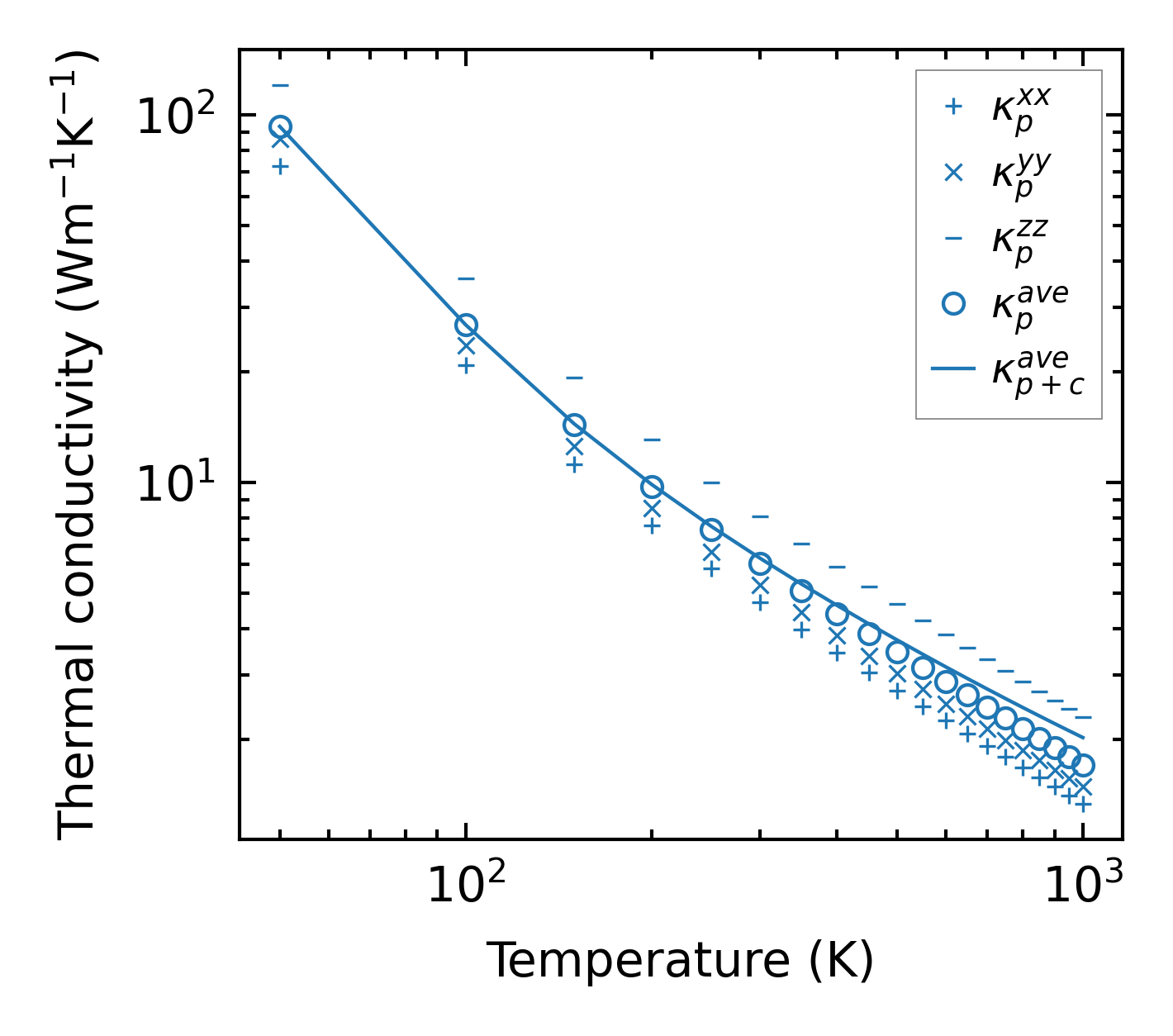
Summary

../../_images/fig_kappa10740.png

(a) Temperature-dependent lattice thermal conductivity

../../_images/fig_times22736.png

(b) Computation time