mp-20496/Ga2PbO4/anharm

Equation of state

../../_images/fig_bm6732.png

(a) Equation of state

Harmonic properties

../../_images/fig_bandos_pr13483.png

(a) Phonon dispersion with participation ratio and DOS

../../_images/fig_thermo13483.png

(b) Thermodynamic properties

Grüneisen parameters

../../_images/fig_gru_all5698.png

(a) Grüneisen parameters

../../_images/fig_gruneisen5698.png

(b) Phonon dispersion with Grüneisen parameters

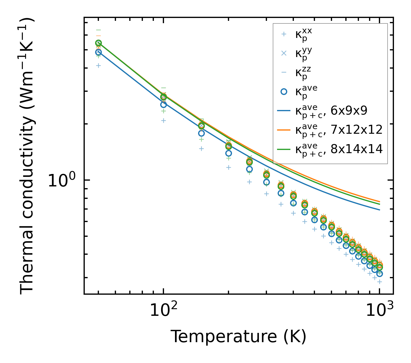
Thermal conductivity

3-phonon (LASSO) — q-mesh: 8x14x14, supercell: 2x1x2

../../_images/fig_kappa10708.png

(a) Temperature-dependent lattice thermal conductivity

../../_images/fig_kappa_vs_grain_size5764.png

(b) Peierls lattice thermal conductivity w.r.t grain size

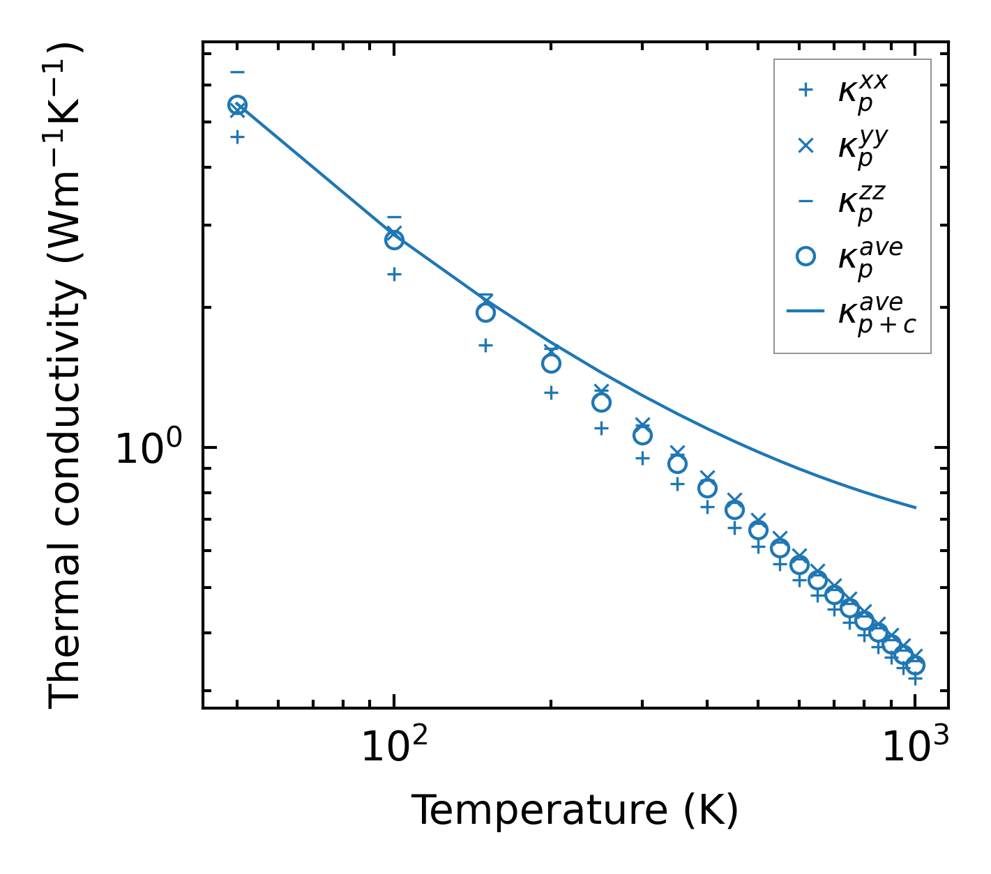
3-phonon (LASSO), supercell 2x2x2 — q-mesh: 8x14x14, supercell: 2x2x2

../../_images/fig_kappa10709.png

(a) Temperature-dependent lattice thermal conductivity

../../_images/fig_kappa_vs_grain_size5765.png

(b) Peierls lattice thermal conductivity w.r.t grain size

Phonon lifetime and scattering rates

../../_images/fig_lifetime5643.png

(a) Phonon lifetime due to phonon-phonon scattering

../../_images/fig_scat_rates5642.png

(b) Phonon scattering rates

Cumulative and spectral thermal conductivity

../../_images/fig_cumu_frequency5643.png

(a) Spectral and cumulative thermal conductivity w.r.t frequency

../../_images/fig_cumu_mfp5642.png

(b) Spectral and cumulative thermal conductivity w.r.t MFP

Force constants

../../_images/fig_fc213118.png

(a) Force constants w.r.t atomic distance

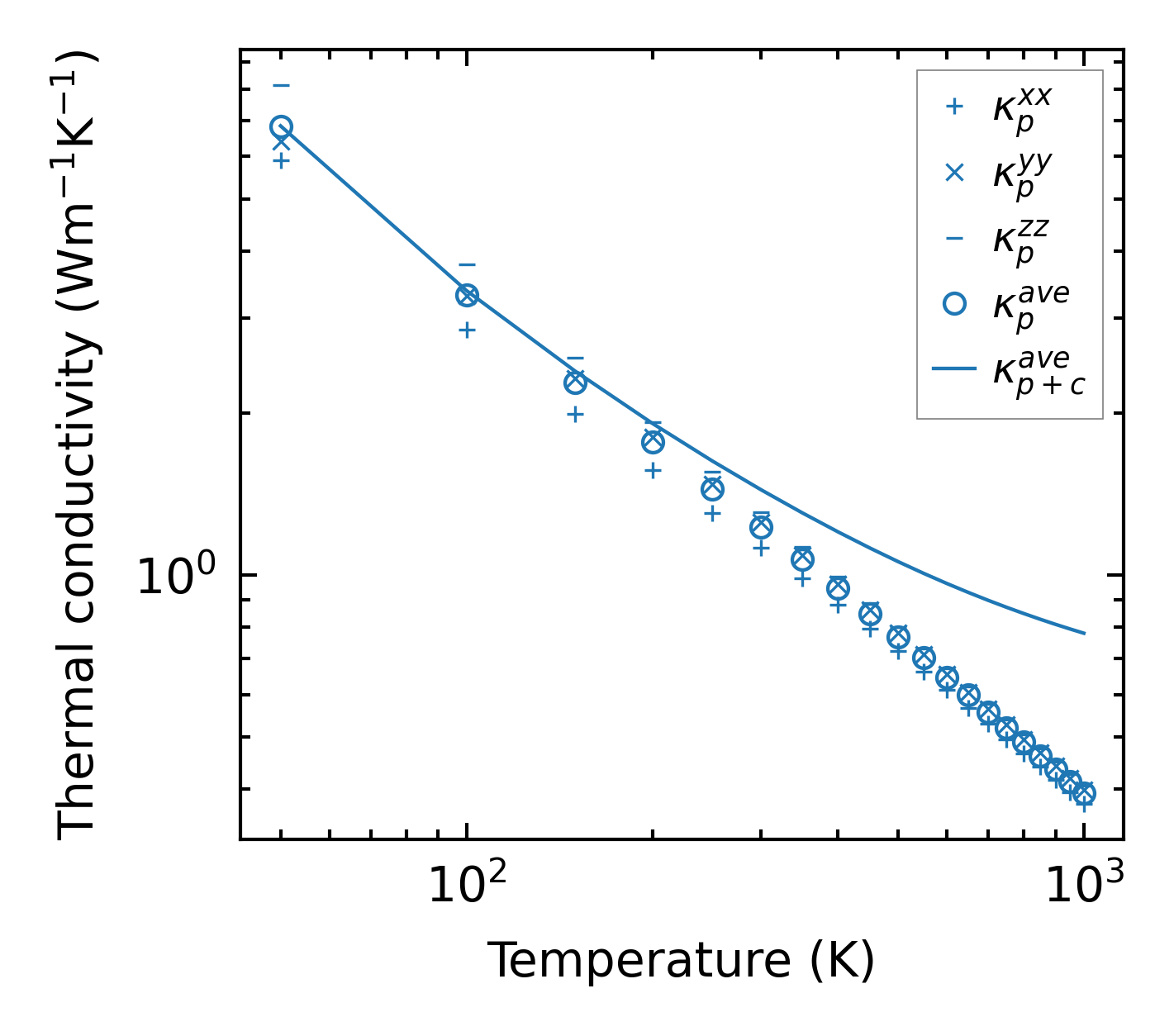
Summary

../../_images/fig_kappa10710.png

(a) Temperature-dependent lattice thermal conductivity

../../_images/fig_times22685.png

(b) Computation time