mp-20832/ZnIn2Te4/anharm

Harmonic properties

../../_images/fig_bandos_pr13507.png

(a) Phonon dispersion with participation ratio and DOS

../../_images/fig_thermo13507.png

(b) Thermodynamic properties

Grüneisen parameters

../../_images/fig_gru_all5709.png

(a) Grüneisen parameters

../../_images/fig_gruneisen5709.png

(b) Phonon dispersion with Grüneisen parameters

Thermal conductivity

3-phonon (LASSO) — q-mesh: 11x11x11, supercell: 3x3x1

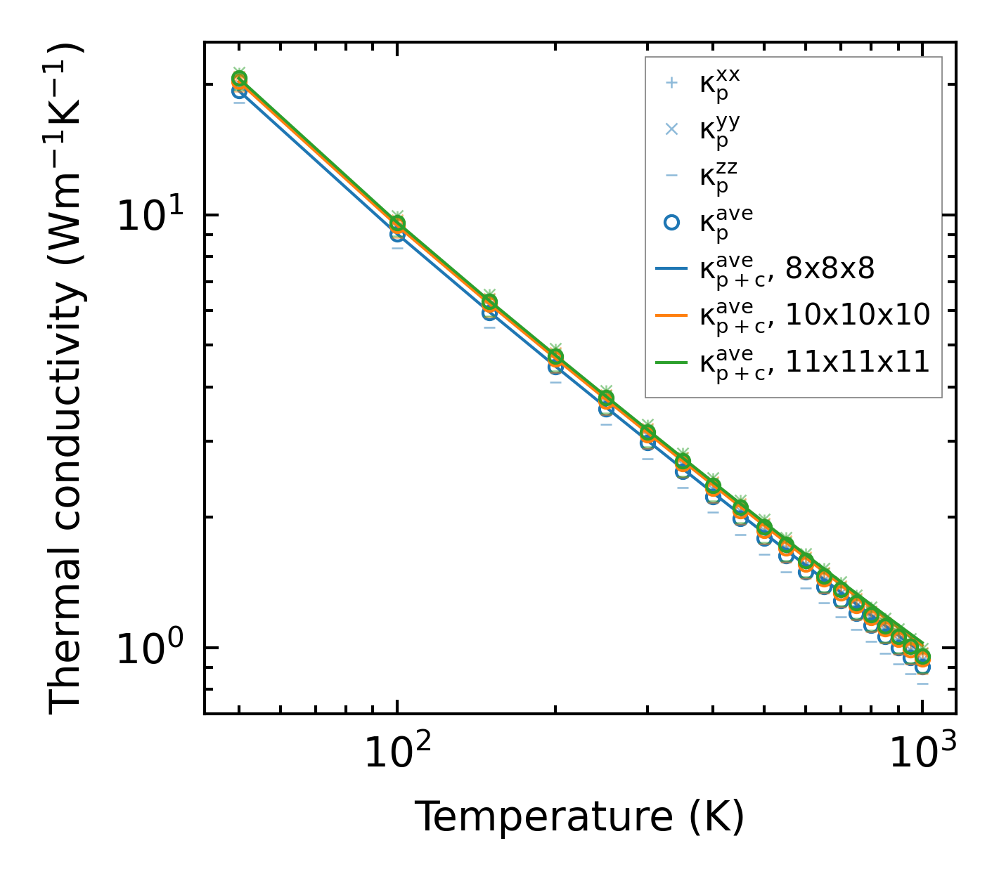
../../_images/fig_kappa10731.png

(a) Temperature-dependent lattice thermal conductivity

../../_images/fig_kappa_vs_grain_size5777.png

(b) Peierls lattice thermal conductivity w.r.t grain size

Phonon lifetime and scattering rates

../../_images/fig_lifetime5654.png

(a) Phonon lifetime due to phonon-phonon scattering

../../_images/fig_scat_rates5653.png

(b) Phonon scattering rates

Cumulative and spectral thermal conductivity

../../_images/fig_cumu_frequency5654.png

(a) Spectral and cumulative thermal conductivity w.r.t frequency

../../_images/fig_cumu_mfp5653.png

(b) Spectral and cumulative thermal conductivity w.r.t MFP

Force constants

../../_images/fig_fc213142.png

(a) Force constants w.r.t atomic distance

Summary

../../_images/fig_kappa10732.png

(a) Temperature-dependent lattice thermal conductivity

../../_images/fig_times22723.png

(b) Computation time