mp-20254/Na2Te2O7/anharm

Harmonic properties

../../_images/fig_bandos_pr13446.png

(a) Phonon dispersion with participation ratio and DOS

../../_images/fig_thermo13446.png

(b) Thermodynamic properties

Grüneisen parameters

../../_images/fig_gru_all5677.png

(a) Grüneisen parameters

../../_images/fig_gruneisen5677.png

(b) Phonon dispersion with Grüneisen parameters

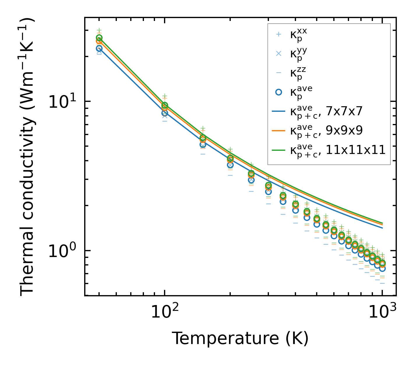
Thermal conductivity

3-phonon (LASSO) — q-mesh: 11x11x11, supercell: 1x2x1

../../_images/fig_kappa10666.png

(a) Temperature-dependent lattice thermal conductivity

../../_images/fig_kappa_vs_grain_size5743.png

(b) Peierls lattice thermal conductivity w.r.t grain size

Phonon lifetime and scattering rates

../../_images/fig_lifetime5622.png

(a) Phonon lifetime due to phonon-phonon scattering

../../_images/fig_scat_rates5621.png

(b) Phonon scattering rates

Cumulative and spectral thermal conductivity

../../_images/fig_cumu_frequency5622.png

(a) Spectral and cumulative thermal conductivity w.r.t frequency

../../_images/fig_cumu_mfp5621.png

(b) Spectral and cumulative thermal conductivity w.r.t MFP

Force constants

../../_images/fig_fc213082.png

(a) Force constants w.r.t atomic distance

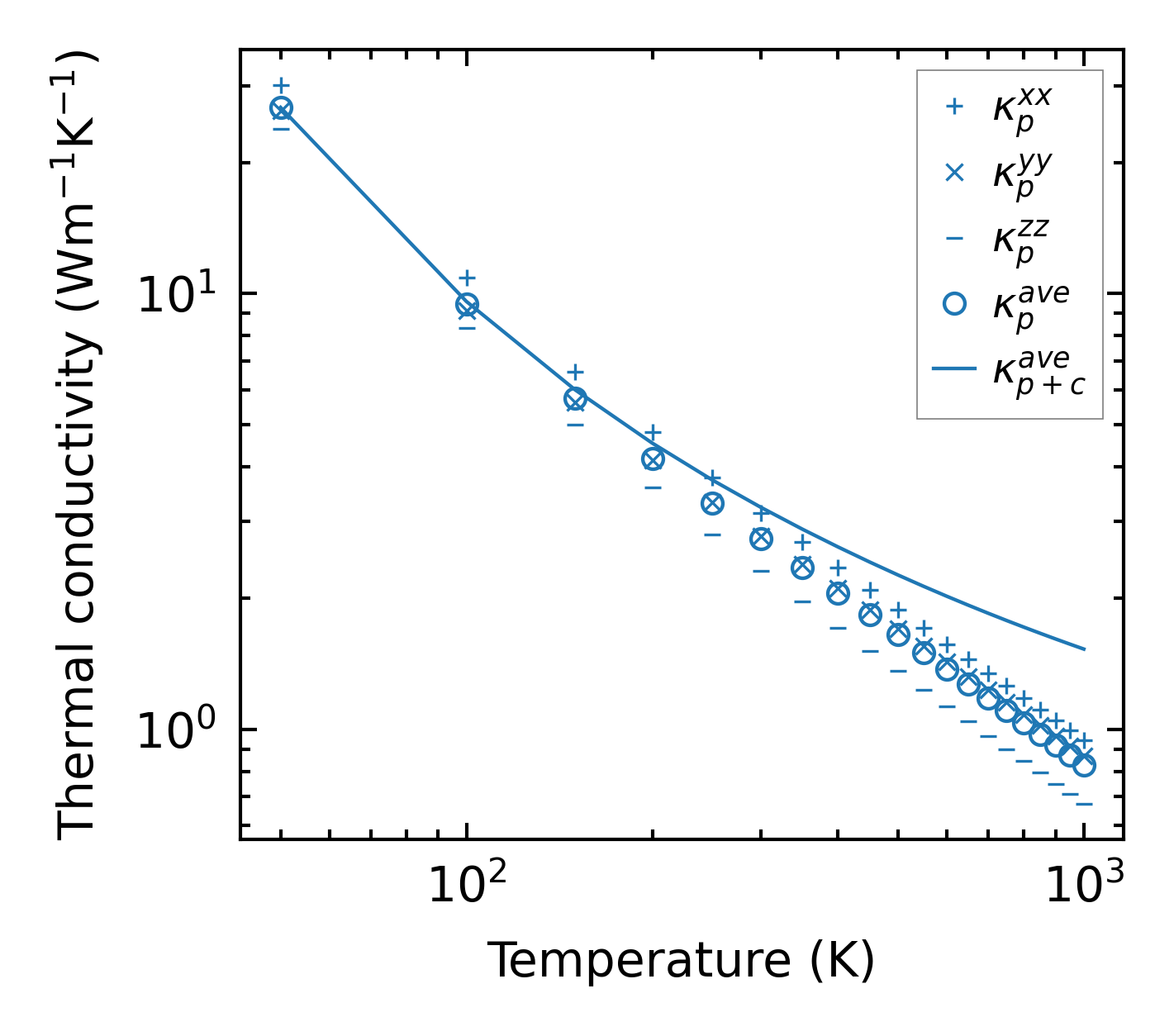
Summary

../../_images/fig_kappa10667.png

(a) Temperature-dependent lattice thermal conductivity

../../_images/fig_times22641.png

(b) Computation time