mp-20014-2/AlVMoO7/anharm

Equation of state

../../_images/fig_bm6705.png

(a) Equation of state

Harmonic properties

../../_images/fig_bandos_pr13419.png

(a) Phonon dispersion with participation ratio and DOS

../../_images/fig_bandos17792.png

(b) Phonon dispersion and DOS

../../_images/fig_thermo13419.png

(c) Thermodynamic properties

Grüneisen parameters

../../_images/fig_gru_all5660.png

(a) Grüneisen parameters

../../_images/fig_gruneisen5660.png

(b) Phonon dispersion with Grüneisen parameters

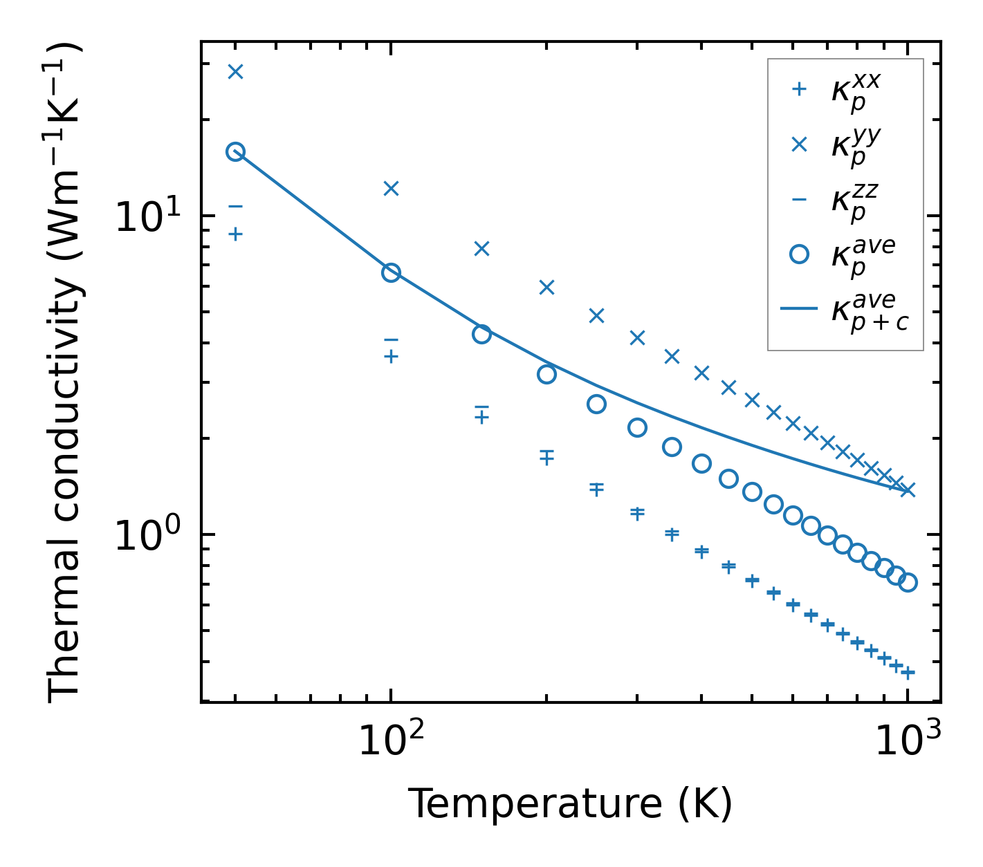
Thermal conductivity

3-phonon (LASSO) — q-mesh: 5x13x8, supercell: 1x2x1

../../_images/fig_kappa10634.png

(a) Temperature-dependent lattice thermal conductivity

../../_images/fig_kappa_vs_grain_size5725.png

(b) Peierls lattice thermal conductivity w.r.t grain size

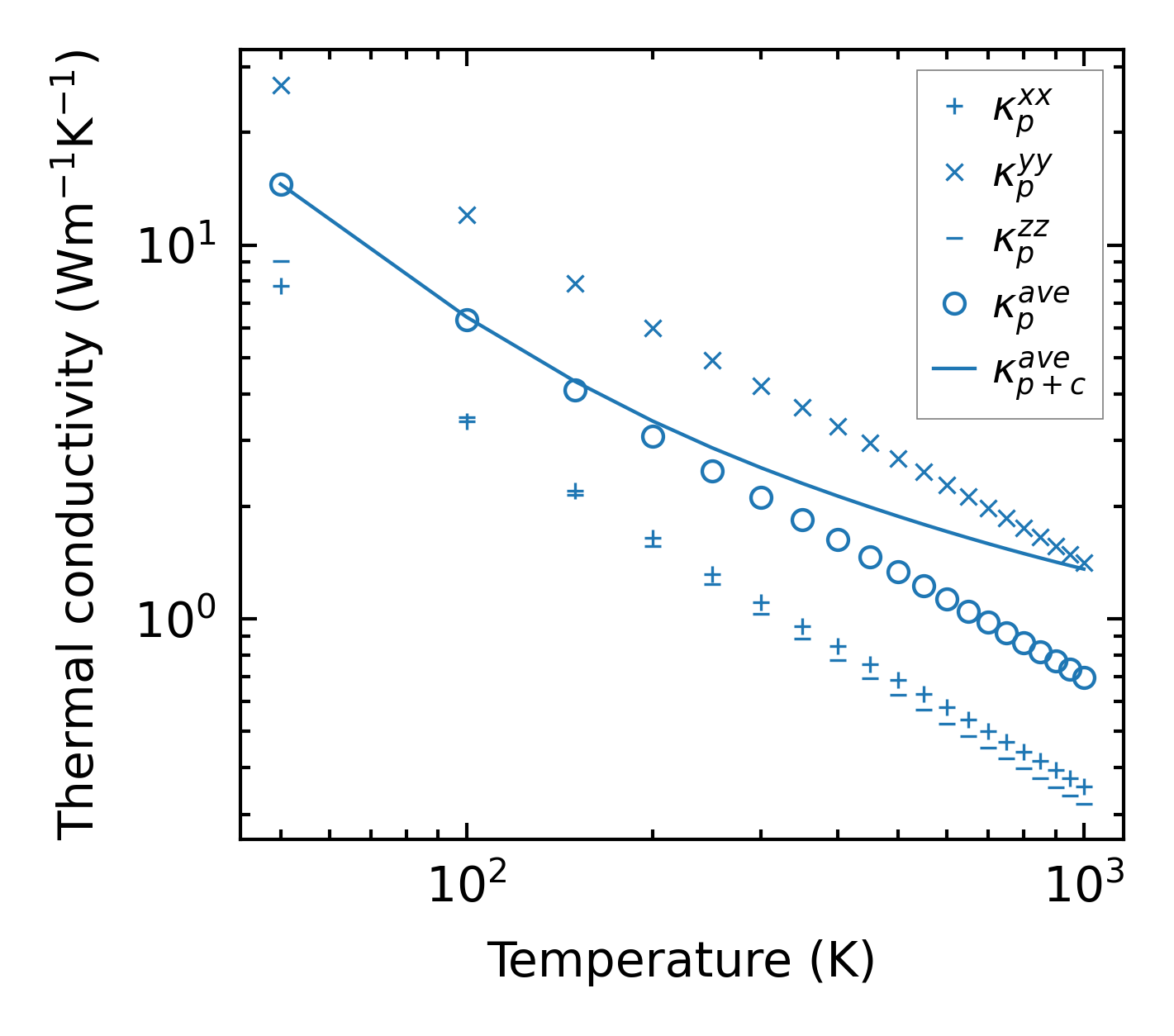
3-phonon (LASSO), supercell 1x2x2 — q-mesh: 5x13x8, supercell: 1x2x2

../../_images/fig_kappa10635.png

(a) Temperature-dependent lattice thermal conductivity

../../_images/fig_kappa_vs_grain_size5726.png

(b) Peierls lattice thermal conductivity w.r.t grain size

Phonon lifetime and scattering rates

../../_images/fig_lifetime5605.png

(a) Phonon lifetime due to phonon-phonon scattering

../../_images/fig_scat_rates5604.png

(b) Phonon scattering rates

Cumulative and spectral thermal conductivity

../../_images/fig_cumu_frequency5605.png

(a) Spectral and cumulative thermal conductivity w.r.t frequency

../../_images/fig_cumu_mfp5604.png

(b) Spectral and cumulative thermal conductivity w.r.t MFP

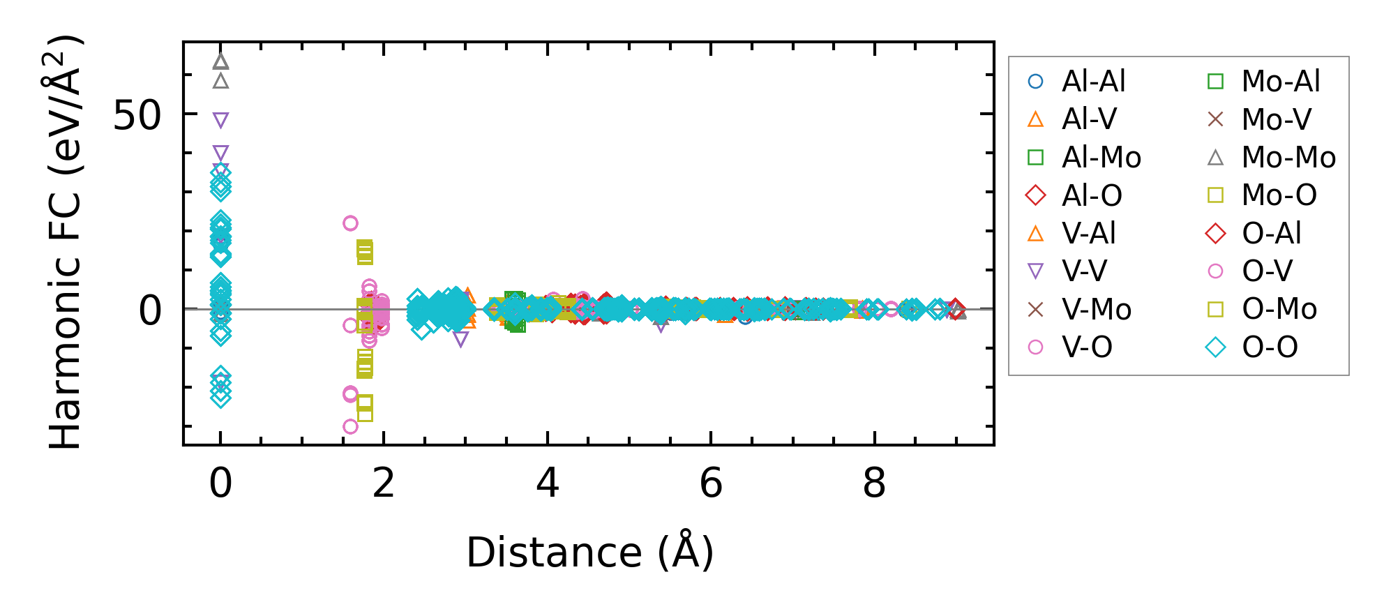
Force constants

../../_images/fig_fc213056.png

(a) Force constants w.r.t atomic distance

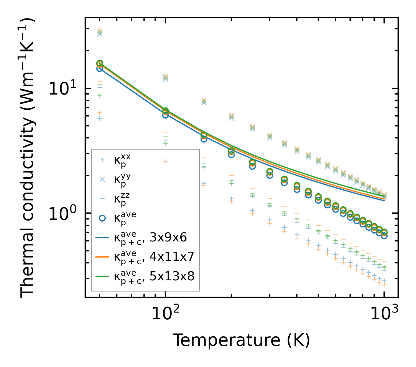
Summary

../../_images/fig_kappa10636.png

(a) Temperature-dependent lattice thermal conductivity

../../_images/fig_times22604.png

(b) Computation time