mp-20027/FeP2/anharm

Harmonic properties

../../_images/fig_bandos_pr13423.png

(a) Phonon dispersion with participation ratio and DOS

../../_images/fig_thermo13423.png

(b) Thermodynamic properties

Grüneisen parameters

../../_images/fig_gru_all5662.png

(a) Grüneisen parameters

../../_images/fig_gruneisen5662.png

(b) Phonon dispersion with Grüneisen parameters

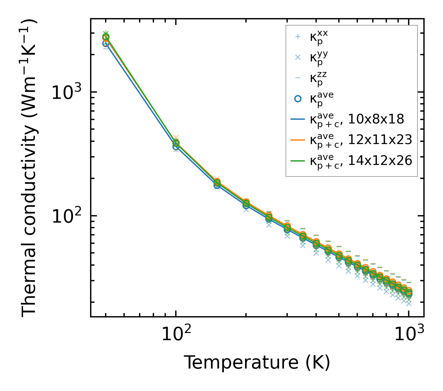
Thermal conductivity

3-phonon (LASSO) — q-mesh: 14x12x26, supercell: 3x2x4

../../_images/fig_kappa10639.png

(a) Temperature-dependent lattice thermal conductivity

../../_images/fig_kappa_vs_grain_size5728.png

(b) Peierls lattice thermal conductivity w.r.t grain size

Phonon lifetime and scattering rates

../../_images/fig_lifetime5607.png

(a) Phonon lifetime due to phonon-phonon scattering

../../_images/fig_scat_rates5606.png

(b) Phonon scattering rates

Cumulative and spectral thermal conductivity

../../_images/fig_cumu_frequency5607.png

(a) Spectral and cumulative thermal conductivity w.r.t frequency

../../_images/fig_cumu_mfp5606.png

(b) Spectral and cumulative thermal conductivity w.r.t MFP

Force constants

../../_images/fig_fc213060.png

(a) Force constants w.r.t atomic distance

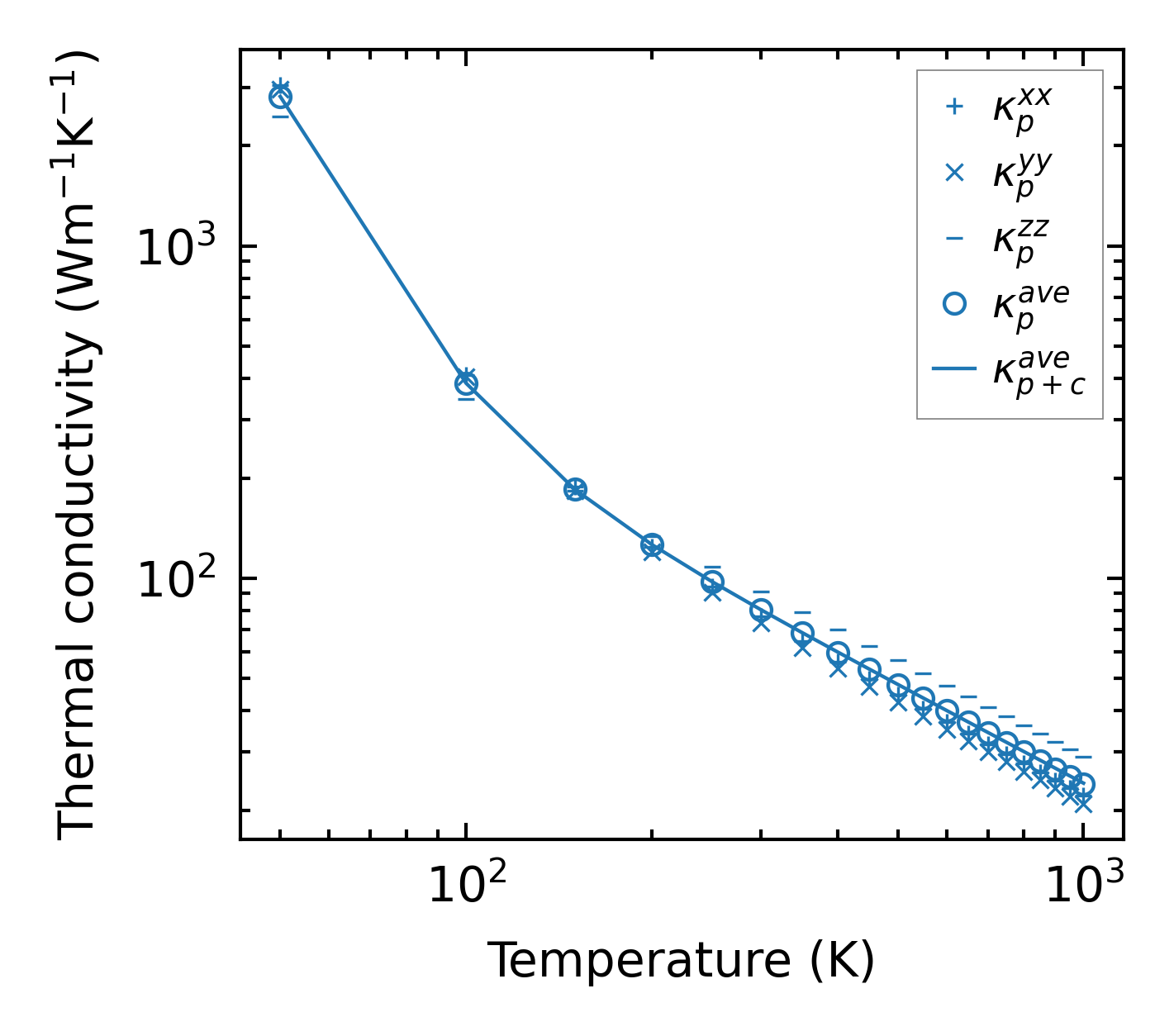
Summary

../../_images/fig_kappa10640.png

(a) Temperature-dependent lattice thermal conductivity

../../_images/fig_times22608.png

(b) Computation time