mp-20450-3/YCrB4/anharm

Harmonic properties

../../_images/fig_bandos_pr13473.png

(a) Phonon dispersion with participation ratio and DOS

../../_images/fig_thermo13473.png

(b) Thermodynamic properties

Grüneisen parameters

../../_images/fig_gru_all5694.png

(a) Grüneisen parameters

../../_images/fig_gruneisen5694.png

(b) Phonon dispersion with Grüneisen parameters

Thermal conductivity

3-phonon (LASSO) — q-mesh: 12x6x21, supercell: 2x1x3

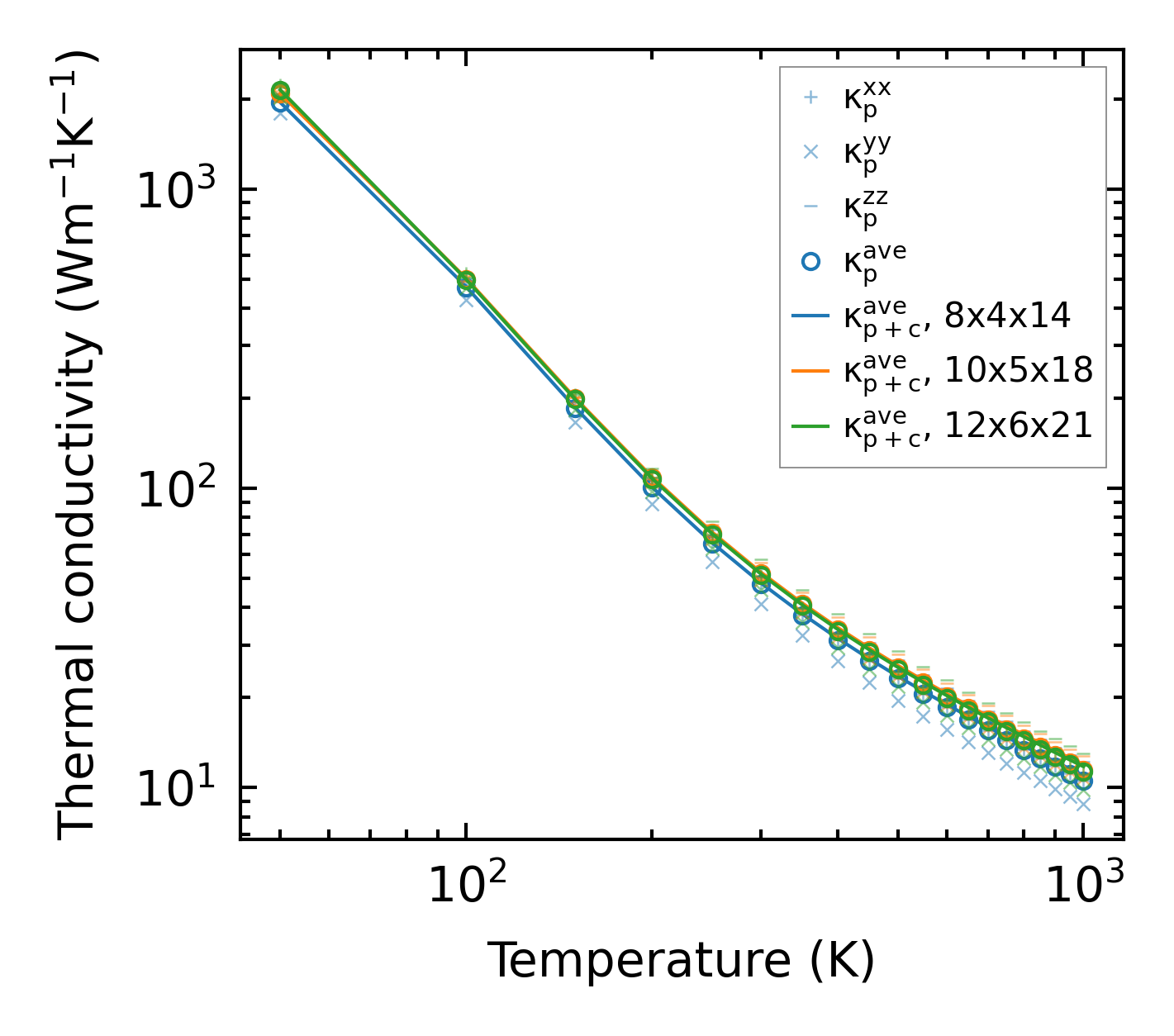
../../_images/fig_kappa10700.png

(a) Temperature-dependent lattice thermal conductivity

../../_images/fig_kappa_vs_grain_size5760.png

(b) Peierls lattice thermal conductivity w.r.t grain size

Phonon lifetime and scattering rates

../../_images/fig_lifetime5639.png

(a) Phonon lifetime due to phonon-phonon scattering

../../_images/fig_scat_rates5638.png

(b) Phonon scattering rates

Cumulative and spectral thermal conductivity

../../_images/fig_cumu_frequency5639.png

(a) Spectral and cumulative thermal conductivity w.r.t frequency

../../_images/fig_cumu_mfp5638.png

(b) Spectral and cumulative thermal conductivity w.r.t MFP

Force constants

../../_images/fig_fc213109.png

(a) Force constants w.r.t atomic distance

Summary

../../_images/fig_kappa10701.png

(a) Temperature-dependent lattice thermal conductivity

../../_images/fig_times22671.png

(b) Computation time