mp-20820/PbN2O6/anharm

Harmonic properties

../../_images/fig_bandos_pr13506.png

(a) Phonon dispersion with participation ratio and DOS

../../_images/fig_thermo13506.png

(b) Thermodynamic properties

Grüneisen parameters

../../_images/fig_gru_all5708.png

(a) Grüneisen parameters

../../_images/fig_gruneisen5708.png

(b) Phonon dispersion with Grüneisen parameters

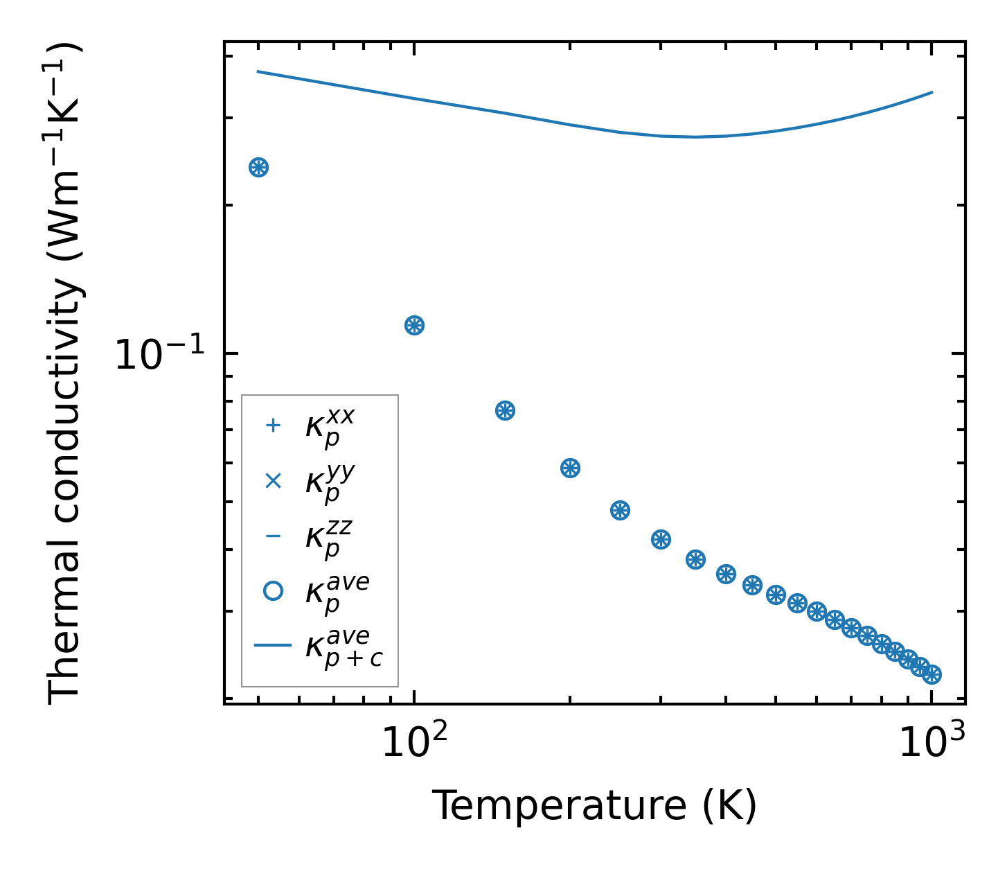
Thermal conductivity

3-phonon (LASSO) — q-mesh: 9x9x9, supercell: 1x1x1

../../_images/fig_kappa10729.png

(a) Temperature-dependent lattice thermal conductivity

../../_images/fig_kappa_vs_grain_size5776.png

(b) Peierls lattice thermal conductivity w.r.t grain size

Phonon lifetime and scattering rates

../../_images/fig_lifetime5653.png

(a) Phonon lifetime due to phonon-phonon scattering

../../_images/fig_scat_rates5652.png

(b) Phonon scattering rates

Cumulative and spectral thermal conductivity

../../_images/fig_cumu_frequency5653.png

(a) Spectral and cumulative thermal conductivity w.r.t frequency

../../_images/fig_cumu_mfp5652.png

(b) Spectral and cumulative thermal conductivity w.r.t MFP

Force constants

../../_images/fig_fc213141.png

(a) Force constants w.r.t atomic distance

Summary

../../_images/fig_kappa10730.png

(a) Temperature-dependent lattice thermal conductivity

../../_images/fig_times22722.png

(b) Computation time